Portada
Asignatura
Grado en Ingeniería Electrónica Industrial (UAL)
Diseño Asistido Por Ordenador
Fecha de subida
18 ago 2022
Categoría
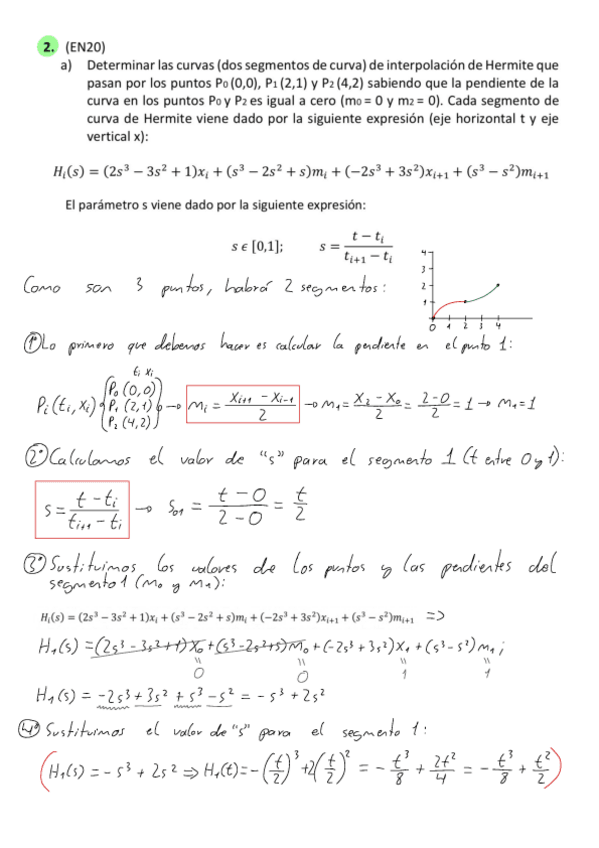
ejercicios
Etiquetas
Exámenes - PREGUNTAS-TEORICAS-RESUELTAS.pdf
pdf
25 páginas
36
1
Apuntes - Diseno-Asistido-Por-Ordenador.pdf
34 páginas
21
2
Apuntes - 2024-SOLO-PREGUNTAS-TEORIA-RESUELTAS.pdf
9 páginas
25
Exámenes - Preguntas-Teoria-De-Examen-DAO.pdf
11 páginas
23
Apuntes - APUNTES-EJERCICIOS-PRACTICOS.pdf
10 páginas
Exámenes - Preguntas-de-examenes-DAO.pdf
Ejercicios - EJER-PRACTICOS-RESUELTOS.pdf
31 páginas
16
0
Exámenes - SOLCADJUN21.zip
zip
9
Apuntes - APUNTES-GUIA-EJER-SOLIDWORKS.pdf
29 páginas
Apuntes - 2024-RECOPILACION-EXAMENES-DE-TEORIA-CON-SOLUCIONESSIN-CAE-NI-PRACTICAS.pdf
70 páginas
20
Exámenes - PREGUNTAS-TEMA-2.pdf
2 páginas
5
Exámenes - PREGUNTAS-TEMA-1.pdf
5 páginas
Exámenes - PREGUNTAS-TEMA-7.pdf
Exámenes - PREGUNTAS-TEMA-5.pdf
1 página
4
Exámenes - SWCAEconSOLUCIONJUN21.zip
3
Exámenes - SOLCAEEN21.rar
rar
Prácticas - PLANO-CODO.pdf
Prácticas - SWCODO.zip
Ejercicios - E2.pdf
3 páginas
Exámenes - PREGUNTAS-TEMA-8.pdf
6