Portada
Asignatura
Grado en Ingeniería Electrónica, Robótica y Mecatrónica (US)
Diseño de Circuitos y Sistemas Electronicos
Fecha de subida
28 ene 2020
Categoría
apuntes
Etiquetas
Apuntes - Formulario-P1-DisElect.pdf
pdf
23 páginas
30
0
Apuntes - Memoria-Practica-2-FPGA.pdf
34 páginas
43
Apuntes - PracticaCaracterizacionRuidoCADENCE2020-21.pdf
9 páginas
Apuntes - Memoria-Practica-1-FPGA.pdf
22 páginas
36
Prácticas - PracticaDistorsion.pdf
8 páginas
2
Apuntes - Formulario-parte-1.pdf
11 páginas
40
Apuntes - Tema-2.pdf
20
Apuntes - Resumen-Teoria-Bloque-2.pdf
19 páginas
Apuntes - practica-Ruido.pdf
14 páginas
19
Apuntes - Tema-1.pdf
21 páginas
Apuntes - InterpreteP2.rar
rar
4
Apuntes - P3CaracterizacionDistorsionCadence.pdf
10 páginas
33
Apuntes - Problemas-Boletines-Bloque-2.pdf
46 páginas
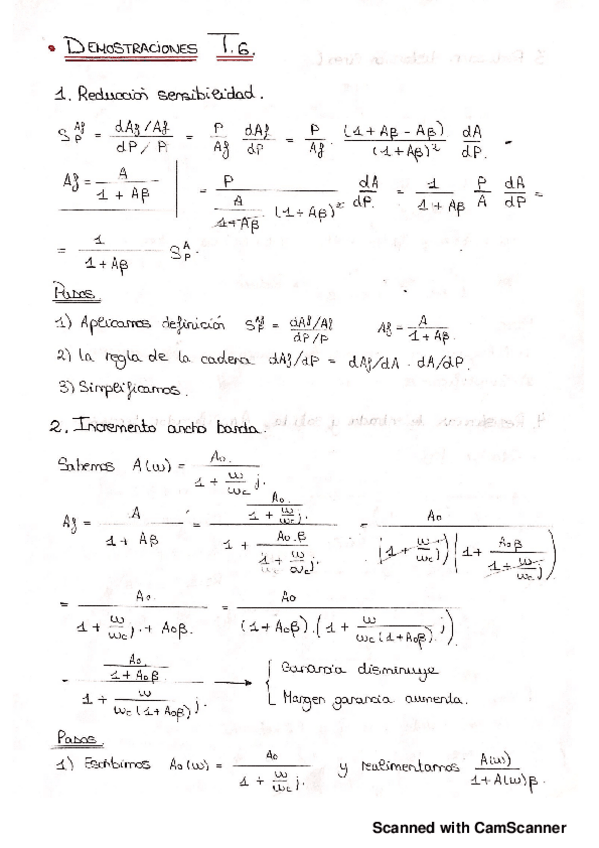
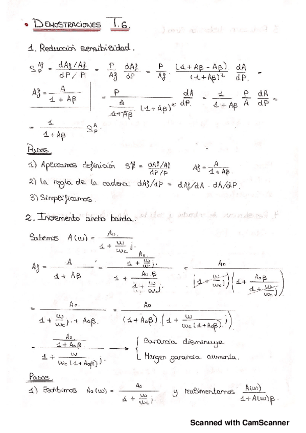
Apuntes - Tema-6.pdf
15
Apuntes - Problemas-de-examen.pdf
57 páginas
23
Apuntes - Formulario-Bloque-2.pdf
22
Apuntes - Tema-9.pdf
17
1
Apuntes - Tema-5.pdf
13 páginas
Apuntes - Problemas-tema-5.pdf
Apuntes - Memoria-Practica-distorsion.pdf
12 páginas