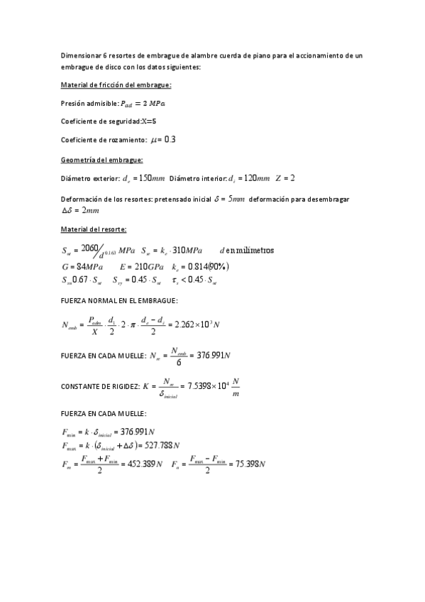
Solución Problema 2.pdf

Nate

Problemas de Resortes

10 archivos·

Enunciado Problema 1.pdf

1 página

Enunciado Problema 2.pdf

1 página

Enunciado Problema 3.pdf

1 página

Enunciado Problema 4.pdf

1 página

Enunciado Problema 5.pdf

1 página

Solución Problema 1.pdf

3 páginas

Solución Problema 2.pdf

3 páginas

Solución Problema 3.pdf

2 páginas

Solución Problema 4.pdf

4 páginas

Solución Problema 5.pdf

4 páginas

content_copy

Archivos recomendados