Portada
Asignatura
Grado en Ingeniería Electrónica Industrial (UCO)
Economía de la Empresa
Fecha de subida
25 jun 2023
Categoría
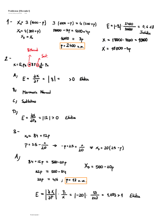
ejercicios
Etiquetas
Apuntes - Economía Y Administración de Empresas.rar
rar
47
0
Exámenes - Test (completo).pdf
pdf
53 páginas
195
1
Apuntes - PDF-ECONOMIA-DE-LA-EMPRESA-1.pdf
16 páginas
Exámenes - TEST-RESUELTO.pdf
4 páginas
132
Exámenes - Test (online).pdf
1 página
165
4
Apuntes - TEST ECONOMÍA.rar
22
Apuntes - respuestas-cuestionario-en-PDF.pdf
Exámenes - Test (blanco).pdf
131
Exámenes - TEST ECONOMIA 2017.pdf
97
Apuntes - Plan-de-empresa.pdf
17 páginas
121
Apuntes - PLAN-DE-EMPRESA.zip
zip
42
Apuntes - TABLA-BALANCE.pdf
2 páginas
6
Apuntes - trabajo-de-empresa.pdf
5 páginas
77
Apuntes - Economia-de-la-empresa.pdf
37 páginas
39
Apuntes - Economia-formulario.pdf
6 páginas
Apuntes - Apuntes-economia.pdf
28 páginas
48
Apuntes - Temario. Ejercicios.pdf
117 páginas
65
Ejercicios - Problemas OO/DD.pdf
44
Exámenes - RECOPILACION-300-TEST-RESUELTO.pdf
54 páginas
18
46