Ecuaciones Algebraicas

chevron_left
chevron_right
Todo
Apuntes
Exámenes
Prácticas
chevron_left
chevron_right

He publicado nuevos apuntes de 3º Ecuaciones Algebraicas: Apuntes-Ecal-LaTeX.pdf

34 páginas

apuntes

-

Apuntes a tablet

He publicado nuevos apuntes de 3º Ecuaciones Algebraicas: Apuntes a tablet

EEAA.pdf
pracecal.pdf
ECAL.pdf
semecal2.pdf
pracecal2.pdf
Ecal2.pdf

apuntes

-

Apuntes cuadernos

He publicado nuevos apuntes de 3º Ecuaciones Algebraicas: Apuntes cuadernos

0-Ac.raices.pdf
Ac.raices-Fin.pdf

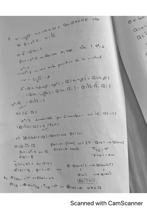
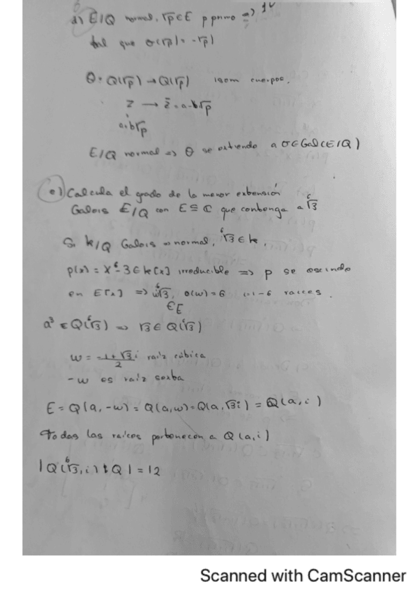
He publicado nuevos examenes de 3º Ecuaciones Algebraicas: Examenes-de-ECAL-Ene26.pdf

1 página

He publicado nuevos examenes de 3º Ecuaciones Algebraicas: Examenes-de-ECAL-Nov25.pdf

1 página

Parte práctica del examen de Enero de 2023 corregido con todo lujo de detalle en cada paso. ¡Mucha suerte en tus exámenes!

6 páginas

Parte práctica del examen de 2018 con los enunciados copiados y debidamente resueltos. ¡Mucha suerte en el examen!

13 páginas

He publicado nuevos examenes de 3º Ecuaciones Algebraicas: examen25soluciones.pdf

7 páginas

Todos los teoremas correspondientes a los exámenes de Ecuaciones Algebraicas completamente detallados y con todos los pasos y lemas debidamente mencionados y justificados, para ayudar a su comprensión y, por ende, a su correcta memorización cara al examen

52 páginas

Contenido del Tema 1, apoyado con ejemplos y demostraciones detalladas para que no des ningún paso en falso en tu estudio de las ecuaciones algebraicas :)

63 páginas

He publicado nuevos examenes de 3º Ecuaciones Algebraicas: Gener-2025.pdf

1 página

He publicado nuevos examenes de 3º Ecuaciones Algebraicas: Enero-2025.pdf

1 página

practicas

-

Pràctiques

He publicado nuevos practicas de 3º Ecuaciones Algebraicas: Pràctiques

Practica-2.pdf
Practica-1.pdf

apuntes

-

Teoria, resum i demos pa l'examen

He publicado nuevos apuntes de 3º Ecuaciones Algebraicas: Teoria, resum i demos pa l'examen

Preliminars.pdf
Part-1.pdf
Part-2.pdf
Resumet.pdf
Teoremes.pdf
Anónimo

@Anónimo

He publicado nuevos apuntes de 3º Ecuaciones Algebraicas: teoriaECAL_2425.pdf

59 páginas

He publicado nuevos practicas de 3º Ecuaciones Algebraicas: Seminario-1.pdf

3 páginas

He publicado nuevos practicas de 3º Ecuaciones Algebraicas: Seminario-3.pdf

3 páginas

He publicado nuevos practicas de 3º Ecuaciones Algebraicas: Seminario-2.pdf

2 páginas

He publicado nuevos apuntes de 3º Ecuaciones Algebraicas: Tema-0.pdf

2 páginas

He publicado nuevos apuntes de 3º Ecuaciones Algebraicas: Tema-2.pdf

7 páginas

He publicado nuevos apuntes de 3º Ecuaciones Algebraicas: Tema-1.pdf

8 páginas

apuntes

-

Teoria ecal

He publicado nuevos apuntes de 3º Ecuaciones Algebraicas: Teoria ecal

T1-ecal.pdf
T0-ecal.pdf
T2-ecal.pdf

He publicado nuevos examenes de 3º Ecuaciones Algebraicas: ExamenJunio2019solucion.pdf

2 páginas

He publicado nuevos examenes de 3º Ecuaciones Algebraicas: ExamenesEneroJunio2023solucion.pdf

7 páginas

He publicado nuevos apuntes de 3º Ecuaciones Algebraicas: examen2018.pdf

1 página

He publicado nuevos apuntes de 3º Ecuaciones Algebraicas: SeminarioContenidosExamen.pdf

22 páginas

He publicado nuevos examenes de 3º Ecuaciones Algebraicas: ECAL-examen-resuelto-junio-2019.pdf

4 páginas

He publicado nuevos examenes de 3º Ecuaciones Algebraicas: ECAL-Examen-resuelto-Enero-2023.pdf

5 páginas

He publicado nuevos examenes de 3º Ecuaciones Algebraicas: ECAL-examen-resuelto-enero-2022.pdf

4 páginas

He publicado nuevos examenes de 3º Ecuaciones Algebraicas: ECAL-examen-resuelto-enero-2018.pdf

5 páginas

He publicado nuevos examenes de 3º Ecuaciones Algebraicas: ECAL-examen-resuelto-enero-2021.pdf

5 páginas

He publicado nuevos apuntes de 3º Ecuaciones Algebraicas: Teoria-ECAL.pdf

51 páginas

practicas

-

Prácticas 2023-2024

He publicado nuevos practicas de 3º Ecuaciones Algebraicas: Prácticas 2023-2024

Practica1.pdf
Practica2.pdf

He publicado nuevos examenes de 3º Ecuaciones Algebraicas: ECAL-TEST-23-24.pdf

1 página

He publicado nuevos examenes de 3º Ecuaciones Algebraicas: ECAL-23-24.pdf

1 página

He publicado nuevos apuntes de 3º Ecuaciones Algebraicas: ECAL-Apunts-2023.pdf

60 páginas

He publicado nuevos practicas de 3º Ecuaciones Algebraicas: ECAL-Practica.pdf

89 páginas

He publicado nuevos apuntes de 3º Ecuaciones Algebraicas: ECAL.pdf

70 páginas

He publicado nuevos apuntes de 3º Ecuaciones Algebraicas: Tests-ECAL-resolts.pdf

22 páginas

He publicado nuevos apuntes de 3º Ecuaciones Algebraicas: Finals-ECAL-gener-resolts.pdf

38 páginas

apuntes

-

PRÀCTIQUES ECAL

He publicado nuevos apuntes de 3º Ecuaciones Algebraicas: PRÀCTIQUES ECAL

Practica-1.pdf
practica2val.pdf

apuntes

-

ECAL TEORIA

He publicado nuevos apuntes de 3º Ecuaciones Algebraicas: ECAL TEORIA

T0.pdf
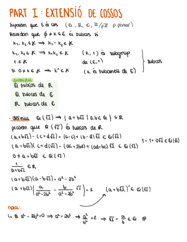
T1-Extensions-De-Cossos.pdf
T2-Isomorfisme-De-Cossos.pdf
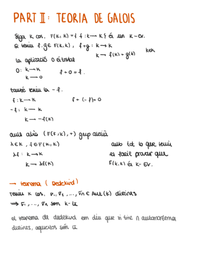
T3-Teoria-De-Galois.pdf
Seminari-ECAL.pdf

He publicado nuevos apuntes de 3º Ecuaciones Algebraicas: Teoria-seminaris.pdf

10 páginas

He publicado nuevos practicas de 3º Ecuaciones Algebraicas: Practica-1.pdf

23 páginas

He publicado nuevos practicas de 3º Ecuaciones Algebraicas: Practica-2.pdf

18 páginas

He publicado nuevos apuntes de 3º Ecuaciones Algebraicas: Apunts-ECAL-examen.pdf

20 páginas

He publicado nuevos examenes de 3º Ecuaciones Algebraicas: ECALEnero2023.pdf

1 página

He publicado nuevos apuntes de 3º Ecuaciones Algebraicas: Ecuaciones-Algebraicas.pdf

50 páginas

He publicado nuevos apuntes de 3º Ecuaciones Algebraicas: Teoria-ECAL-2021.pdf

63 páginas

He publicado nuevos apuntes de 3º Ecuaciones Algebraicas: Seminario-1.pdf

5 páginas
Anónimo

@Anónimo

He publicado nuevos examenes de 3º Ecuaciones Algebraicas: Nota-3compressed.pdf

8 páginas
Anónimo

@Anónimo

He publicado nuevos practicas de 3º Ecuaciones Algebraicas: Nota-2compressed.pdf

23 páginas
Anónimo

@Anónimo

He publicado nuevos apuntes de 3º Ecuaciones Algebraicas: Notacompressed.pdf

30 páginas
¡Estás al día!

¡Estás al día!

Has visto todos los archivos