PilarRN_
Solucion-FInal2019.pdf
11 páginas
Ejercicios - Relacion-2-resuelta.pdf
pdf
22 páginas
499
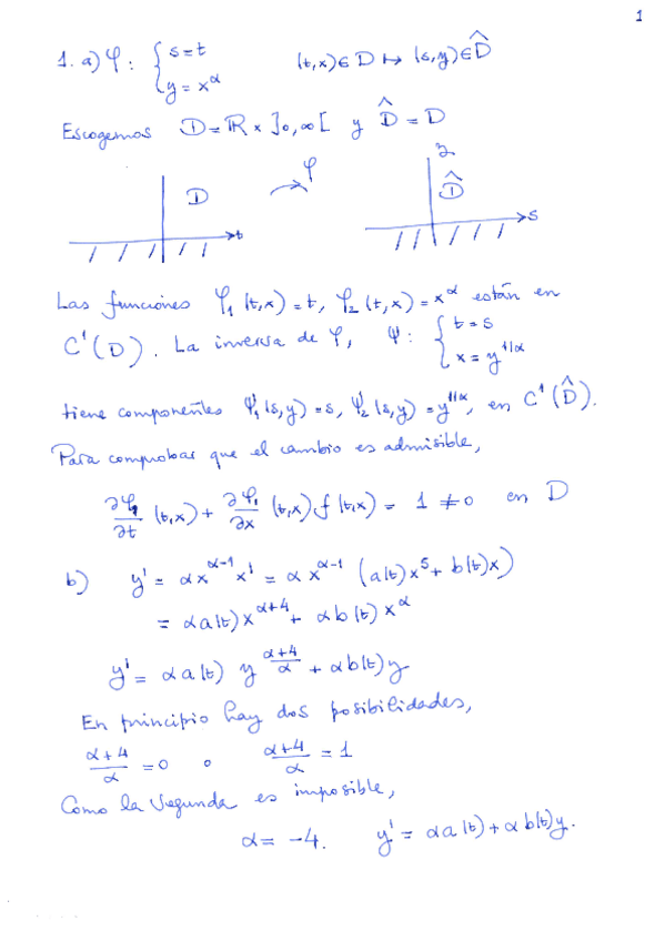
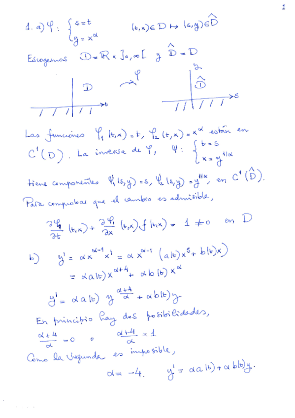
1
Ejercicios - Relacion-1-resuelta.pdf
16 páginas
451
2
Ejercicios - Relacion-4-parte-1.pdf
10 páginas
398
Ejercicios - Relacion-4-parte-2.pdf
9 páginas
347
Ejercicios - Relacion-3-resuelta.pdf
6 páginas
299
Exámenes - Ordinario-EDO-2022-parte-II.pdf
7 páginas
191
0
Exámenes - parte-1-edo.pdf
15 páginas
133
Exámenes - Ordinario-EDO-2022-parte-1.pdf
183
Ejercicios - ejerciciosedo1.pdf
43 páginas
95
Exámenes - final2020.pdf
268
Prácticas - Relacion-1-edo-I.pdf
35 páginas
180
Exámenes - Parcial-1-EDO.pdf
206
Exámenes - Solucion-FInal2019.pdf
114
Exámenes - Parcial-2.pdf
152
Ejercicios - relacion 1.pdf
79
Exámenes - parte-3-edo.pdf
126
Ejercicios - Relacion-2-Cambio-de-variables.pdf
150
Exámenes - parte-2-edo.pdf
17 páginas
97
Exámenes - 2018FinalSoluciones.pdf
0 páginas
63
Ejercicios - Rel2Ecuaciones-RESUELTA.pdf
23 páginas
125