Javiige_14
EDO. Teoría✏️
EDO. Temas 2 y 3.pdf
20 páginas
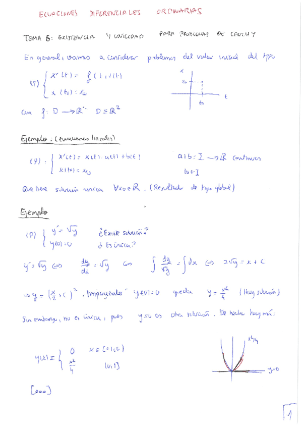
EDO. Teoria tema 6.pdf
44 páginas
El modelo de Lotka Volterra.pdf
6 páginas
Apuntes - primer-parcial.pdf
pdf
8 páginas
9
0
Apuntes - segundo-parcial.pdf
19 páginas
7
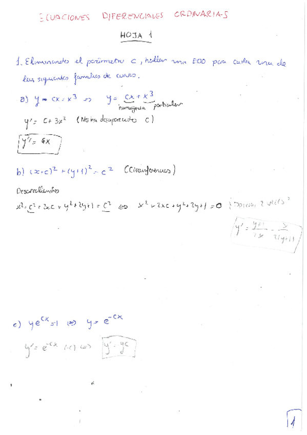
Ejercicios - EDO. Hoja 1.pdf
2
Ejercicios - EDO. Hoja 2.pdf
26 páginas
Ejercicios - EDO. Trabajo 2 2023-2024.pdf
5 páginas
Apuntes - EDO. Parcial 2 Diciembre 2018-2019.pdf
Apuntes - El modelo de Lotka Volterra.pdf
1
Apuntes - EDO. Temas 2 y 3.pdf
Apuntes - EDO. Teoria tema 6.pdf
Ejercicios - EDO. Trabajo 1 2023-2024.pdf
Ejercicios - EDO. Hoja 3.pdf
Ejercicios - EDO. Hoja 4.pdf
11 páginas
Apuntes - EDO. Parcial 2 Junio 2021-2022.pdf