Ecuaciones Diferenciales Ordinarias

Todo
Apuntes
Ejercicios
Exámenes
chevron_left
chevron_right

examenes

-

Examenes Edo 1º Parcial

He publicado nuevos examenes de 2º Ecuaciones Diferenciales Ordinarias: Examenes Edo 1º Parcial

Ejercicios-de-Examenes-1o-Parcial.pdf
Ejercicios-de-Examenes-1o-Parcial-2vol.pdf
Ejercicios-de-Examenes-1o-Parcial-3vol.pdf

apuntes

-

Resúmenes EDO

Resúmenes de los contenidos del 1er y 2º parcial de EDO

Resumen-EDO-2o-Parcial.pdf
Resumen-EDO-1erParcial-Parte-2.pdf
Resumen-EDO-1erParcial-Parte-1.pdf

He publicado nuevos apuntes de 2º Ecuaciones Diferenciales Ordinarias: Tema-1-Introduccion-a-las-EDOs.pdf

17 páginas

He publicado nuevos apuntes de 2º Ecuaciones Diferenciales Ordinarias: Tema-4-Ecuaciones-Y-Sistemas-Diferenciales-Ordinarios-Lineales.pdf

14 páginas

He publicado nuevos apuntes de 2º Ecuaciones Diferenciales Ordinarias: Tema-5-Problemas-de-Contorno.pdf

5 páginas

He publicado nuevos apuntes de 2º Ecuaciones Diferenciales Ordinarias: Tema-3-Soluciones-Maximales-del-Problema-de-Cauchy-para-un-SDO.pdf

11 páginas

He publicado nuevos apuntes de 2º Ecuaciones Diferenciales Ordinarias: Tema-2-El-Teorema-De-Existencia-Y-Unicidad-De-Picard.pdf

11 páginas

apuntes

-

Demostraciones

He publicado nuevos apuntes de 2º Ecuaciones Diferenciales Ordinarias: Demostraciones

Demostraciones-tema-5.pdf
Demostraciones-tema-3.pdf
Demostraciones-tema-4.pdf
Demostraciones-tema-2.pdf

He publicado nuevos ejercicios de 2º Ecuaciones Diferenciales Ordinarias: Ejercicios-tema-1.pdf

8 páginas

He publicado nuevos ejercicios de 2º Ecuaciones Diferenciales Ordinarias: Ejercicios-tema-5.pdf

5 páginas

He publicado nuevos ejercicios de 2º Ecuaciones Diferenciales Ordinarias: Ejercicios-tema-3.pdf

6 páginas

He publicado nuevos ejercicios de 2º Ecuaciones Diferenciales Ordinarias: Ejercicios-tema-2.pdf

7 páginas

He publicado nuevos examenes de 2º Ecuaciones Diferenciales Ordinarias: Examen-convocatoria-EDO20242025.pdf

2 páginas

apuntes

-

Teoría EDO

He publicado nuevos apuntes de 2º Ecuaciones Diferenciales Ordinarias: Teoría EDO

Teoria-EDO-P2.pdf

He publicado nuevos ejercicios de 2º Ecuaciones Diferenciales Ordinarias: Prob-T4-EDO.pdf

10 páginas

He publicado nuevos ejercicios de 2º Ecuaciones Diferenciales Ordinarias: Prob-T3-EDO.pdf

14 páginas

He publicado nuevos ejercicios de 2º Ecuaciones Diferenciales Ordinarias: Prob-T5-EDO.pdf

5 páginas

He publicado nuevos ejercicios de 2º Ecuaciones Diferenciales Ordinarias: Prob-T1-EDO.pdf

11 páginas

He publicado nuevos ejercicios de 2º Ecuaciones Diferenciales Ordinarias: Prob-T2-EDO.pdf

8 páginas

Resumen de cosas importantes tener en cuenta en problemas temas 4 y 5

5 páginas

He publicado nuevos apuntes de 2º Ecuaciones Diferenciales Ordinarias: Demostraciones-EDO-P2..pdf

6 páginas

He publicado nuevos apuntes de 2º Ecuaciones Diferenciales Ordinarias: Demostraciones-EDO-P1-..pdf

8 páginas

apuntes

-

Apuntes teoría

He publicado nuevos apuntes de 2º Ecuaciones Diferenciales Ordinarias: Apuntes teoría

Apuntes-tema-1.pdf
Apuntes-tema-2.pdf
Apuntes-tema-3.pdf
Apuntes-tema-4.pdf

He publicado nuevos apuntes de 2º Ecuaciones Diferenciales Ordinarias: TEOREMAS-importantes-EDO.pdf

7 páginas

ejercicios

-

EJERCICIOS RESUELTOS

He publicado nuevos ejercicios de 2º Ecuaciones Diferenciales Ordinarias: EJERCICIOS RESUELTOS

EJERCICIOS-TEMA-1-EDO.pdf
EJERCICIOS-TEMA-2-EDO.pdf
EJERCICIOS-TEMA-3-EDO.pdf
EJERCICIOS-TEMA-4-EDO.pdf
EJERCICIOS-TEMA-5-EDO.pdf

He publicado nuevos examenes de 2º Ecuaciones Diferenciales Ordinarias: Primer-Parcial-grupo-4.pdf

1 página

He publicado nuevos apuntes de 2º Ecuaciones Diferenciales Ordinarias: Teoria-EDO-Parcial_1.pdf

10 páginas

Primer parcial resuelto 2024 (Grupo C)

15 páginas

He publicado nuevos examenes de 2º Ecuaciones Diferenciales Ordinarias: Primera-Convocatoria-Resuelto.pdf

20 páginas

He publicado nuevos examenes de 2º Ecuaciones Diferenciales Ordinarias: Primera-Convocatoria.pdf

1 página

He publicado nuevos examenes de 2º Ecuaciones Diferenciales Ordinarias: Parcial-2-Resuelto-2024.pdf

14 páginas

He publicado nuevos ejercicios de 2º Ecuaciones Diferenciales Ordinarias: EjerciciosT5EDO.pdf

14 páginas

He publicado nuevos ejercicios de 2º Ecuaciones Diferenciales Ordinarias: EjerciciosT4EDO.pdf

22 páginas

He publicado nuevos ejercicios de 2º Ecuaciones Diferenciales Ordinarias: EjerciciosT3EDO.pdf

20 páginas

He publicado nuevos ejercicios de 2º Ecuaciones Diferenciales Ordinarias: EjerciciosT2EDO.pdf

16 páginas

He publicado nuevos apuntes de 2º Ecuaciones Diferenciales Ordinarias: resolucion-edos-lineales.pdf

3 páginas

ejercicios

-

Algunos EJERCICIOS RESUELTOS

He publicado nuevos ejercicios de 2º Ecuaciones Diferenciales Ordinarias: Algunos EJERCICIOS RESUELTOS

Problemas-U1watermarked.pdf
Problemas-U2watermarked.pdf
Problemas-U3watermarked.pdf
Problemas-U4watermarked.pdf

apuntes

-

APUNTES de TODOS los temas

He publicado nuevos apuntes de 2º Ecuaciones Diferenciales Ordinarias: APUNTES de TODOS los temas

Apuntes-Tema-1-Introduccion-a-las-Ecuaciones-y-Sistemas-Diferenciales-Ordinarios.-Metodos-Elementales-de-Integracionwatermarked.pdf
Apuntes-Tema-2-El-Teorema-de-existencia-y-unicidad-de-Picardwatermarked.pdf
Apuntes-Tema-3-Soluciones-maximales-del-Problema-de-Cauchy-para-un-SDOwatermarked.pdf
Apuntes-Tema-4-Sistemas-Diferenciales-Ordinarios-Linealeswatermarked.pdf
Anónimo

@Anónimo

He publicado nuevos examenes de 2º Ecuaciones Diferenciales Ordinarias: Enunciado-2convocatoria-2023.pdf

1 página

examenes

-

Exámenes

He publicado nuevos examenes de 2º Ecuaciones Diferenciales Ordinarias: Exámenes

2o-Parcial-2024.pdf
Ejercicios-examenes-T4-T5.pdf

He publicado nuevos apuntes de 2º Ecuaciones Diferenciales Ordinarias: Demostraciones-temas-4-y-5.pdf

3 páginas

He publicado nuevos examenes de 2º Ecuaciones Diferenciales Ordinarias: PrimerParcial2324 Anna.pdf

1 página

He publicado nuevos examenes de 2º Ecuaciones Diferenciales Ordinarias: SegundoParcial2324 Anna.pdf

1 página

apuntes

-

Apuntes y ejercicios

Teoría y ejercicios temas 2,3,4,5

TEMA-5.pdf
TEMA-3.pdf
TEMA-2.pdf
TEMA-4.pdf

He publicado nuevos apuntes de 2º Ecuaciones Diferenciales Ordinarias: Teoria-T4-5.pdf

10 páginas

He publicado nuevos ejercicios de 2º Ecuaciones Diferenciales Ordinarias: Problemas-T4.pdf

50 páginas

He publicado nuevos ejercicios de 2º Ecuaciones Diferenciales Ordinarias: Problemas-T2.pdf

44 páginas

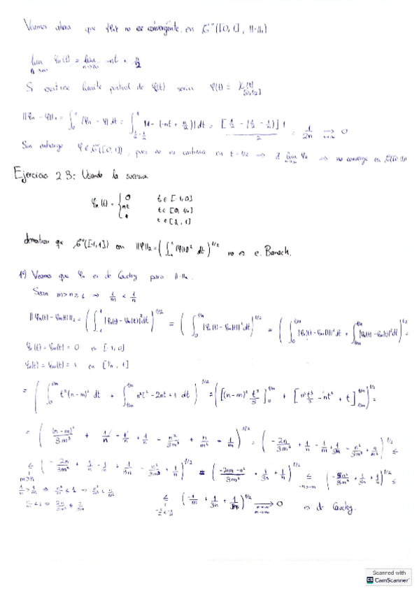
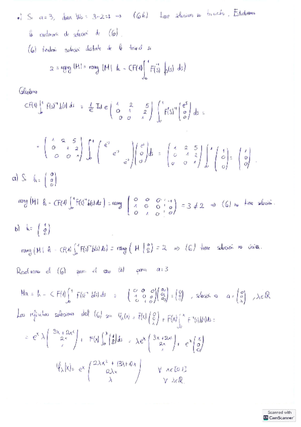
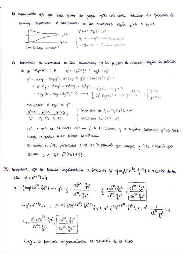
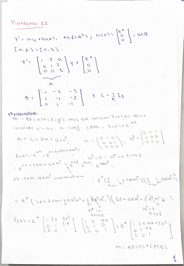
el teorema de picard está escrito varias veces, la válida es la subrayada porque la otra está incompleta

7 páginas

He publicado nuevos apuntes de 2º Ecuaciones Diferenciales Ordinarias: edo-teoremas-t3-lebes.pdf

7 páginas

He publicado nuevos apuntes de 2º Ecuaciones Diferenciales Ordinarias: Boletines-primera-parte.pdf

52 páginas

He publicado nuevos apuntes de 2º Ecuaciones Diferenciales Ordinarias: Boletines-segunda-parte.pdf

29 páginas

apuntes

-

Ejercicios resueltos

He publicado nuevos apuntes de 2º Ecuaciones Diferenciales Ordinarias: Ejercicios resueltos

Ejercicios-tema-1.pdf
Ejercicios-tema-2.pdf
Ejercicio-Tema-4-y-5.pdf

He publicado nuevos apuntes de 2º Ecuaciones Diferenciales Ordinarias: Teoria-segundo-examen-Anna.pdf

13 páginas

apuntes

-

Apuntes Completos Anna

He publicado nuevos apuntes de 2º Ecuaciones Diferenciales Ordinarias: Apuntes Completos Anna

Tema1EDO.pdf
Tema2EDO.pdf
Tema-3.pdf
Tema-4.pdf
Tema-5.pdf

He publicado nuevos ejercicios de 2º Ecuaciones Diferenciales Ordinarias: Boletin-5.pdf

18 páginas

apuntes

-

Teoremas importantes por temas

He publicado nuevos apuntes de 2º Ecuaciones Diferenciales Ordinarias: Teoremas importantes por temas

5-Teoremas.pdf
3-Teoremas.pdf
4-Teoremas.pdf
2-Teoremas.pdf

ejercicios

-

Boletines Resueltos

He publicado nuevos ejercicios de 2º Ecuaciones Diferenciales Ordinarias: Boletines Resueltos

1_Introduccion_a_las_EDOs.pdf
2-Analisis-local-del-problema-de-Cauchy.pdf
3-Soluciones-maximales-del-PC-para-un-SDO.pdf
5-Problemas-de-Contorno-para-SL.pdf
4-Ecuaciones-y-SL.pdf

He publicado nuevos ejercicios de 2º Ecuaciones Diferenciales Ordinarias: Boletin-4.pdf

26 páginas
Anónimo

@Anónimo

He publicado nuevos apuntes de 2º Ecuaciones Diferenciales Ordinarias: Teoria-EDO-2parcial.pdf

12 páginas

ejercicios

-

Ejercicios Resueltos

He publicado nuevos ejercicios de 2º Ecuaciones Diferenciales Ordinarias: Ejercicios Resueltos

EjerciciosTema2.pdf
Ejercicios-Tema-3.pdf
Ejercicios15al27Tema1.pdf
Ejercicios1al14Tema1.pdf
Ejercicios9-10-11Tema4.pdf
Ejercicios7y8Tema4.pdf