chevron_left
chevron_right
Todo
Apuntes
Ejercicios
Exámenes
Test
chevron_left
chevron_right

pep1

Imagen

ejercicios

-

EJERCICIOS

He publicado nuevos ejercicios de 2º Ecuaciones Diferenciales y Modelización: EJERCICIOS

PEP1-EJERCICIOS-REPASO.odt
EJ.PEP1.pdf

He publicado nuevos examenes de 2º Ecuaciones Diferenciales y Modelización: Examenes-ecuaciones.pdf

101 páginas

He publicado nuevos examenes de 2º Ecuaciones Diferenciales y Modelización: PEP2-ecuaciones.pdf

1 página

He publicado nuevos examenes de 2º Ecuaciones Diferenciales y Modelización: PEP1-30-10-25.pdf.pdf

1 página

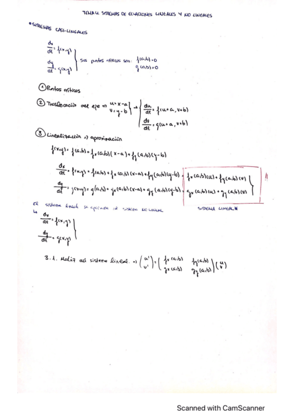
Resumen de todo el temario. Incluye cada apartado (según el PDF de problemas) y un ejercicio de ejemplo. Falta la parte de sistemas no lineales o casi lineales.

9 páginas

He publicado nuevos ejercicios de 2º Ecuaciones Diferenciales y Modelización: ejer.cuasilineales.pdf

3 páginas

Este es el segundo parcial de edo, los resultados mios tal cual como he hecho me han hecho sacar la máxima nota, por lo tanto así sería como se debería responder a todos los enunciados

3 páginas

He publicado nuevos apuntes de 2º Ecuaciones Diferenciales y Modelización: RESUMEN.PARTE2.EDO.pdf

2 páginas

He publicado nuevos apuntes de 2º Ecuaciones Diferenciales y Modelización: PROBLEMAS.DE.SISTEMAS.LINEALES.T2.EDO.pdf

11 páginas

PEP 1 OCT 2025

1 página

examenes

-

Exámenes años anteriores

Exámenes años anteriores resueltos

Examenes-ec.-PDF-1.pdf
Examenes-ec.-PDF-2.pdf

Ejercicio de examen de años anteriores de modelo logistico

2 páginas

Ejercicio de exámenes de años anteriores explicado paso a paso

2 páginas

He publicado nuevos ejercicios de 2º Ecuaciones Diferenciales y Modelización: Problemas-complementarios-T1.pdf

6 páginas

He publicado nuevos test de 2º Ecuaciones Diferenciales y Modelización: Cuestiones-al-tema-1.-Ecuaciones-Diferenciales.pdf

11 páginas

He publicado nuevos examenes de 2º Ecuaciones Diferenciales y Modelización: examenes-resueltos.pdf

19 páginas
Anónimo

@Anónimo

He publicado nuevos examenes de 2º Ecuaciones Diferenciales y Modelización: julio25.pdf

1 página

He publicado nuevos ejercicios de 2º Ecuaciones Diferenciales y Modelización: TODO-EJERCICIOS-ECUACIONES-DIFERENCIALES-Y-MODELIZACION.pdf

67 páginas
Anónimo

@Anónimo

He publicado nuevos apuntes de 2º Ecuaciones Diferenciales y Modelización: Ecuaciones-apuntes-todo-el-curso.pdf

31 páginas

fórmulas de la primera parte de ecuaciones diferenciales

4 páginas
Anónimo

@Anónimo

Exámenes de ecuaciones de varios años, parciales, globales y recus con solución.

101 páginas

apuntes

-

Apuntes EDOS

He publicado nuevos apuntes de 2º Ecuaciones Diferenciales y Modelización: Apuntes EDOS

Primer-parcial-EDOS.pdf
Segundo-parcial-EDOS.pdf
Problemas-1-EDOS.pdf
Problemas-2-EDOS.pdf
Examenes-2o-parcial-EDOS.pdf

He publicado nuevos apuntes de 2º Ecuaciones Diferenciales y Modelización: Ecuaciones-Diferenciales-Ordinarias.pdf

19 páginas

He publicado nuevos apuntes de 2º Ecuaciones Diferenciales y Modelización: Ec-diferenciales-2.pdf

2 páginas

He publicado nuevos apuntes de 2º Ecuaciones Diferenciales y Modelización: Ec-diferenciales-1.pdf

2 páginas

He publicado nuevos ejercicios de 2º Ecuaciones Diferenciales y Modelización: Ejercicios-1-ecuaciones-diferenciales.pdf

27 páginas

He publicado nuevos apuntes de 2º Ecuaciones Diferenciales y Modelización: Tema-1-Ecuaciones-Diferenciales.pdf

18 páginas
Anónimo

@Anónimo

He publicado nuevos examenes de 2º Ecuaciones Diferenciales y Modelización: RESOLUCIONl-301023.pdf

5 páginas
Anónimo

@Anónimo

He publicado nuevos examenes de 2º Ecuaciones Diferenciales y Modelización: JULIO2223-SOLUCION.pdf

8 páginas
Anónimo

@Anónimo

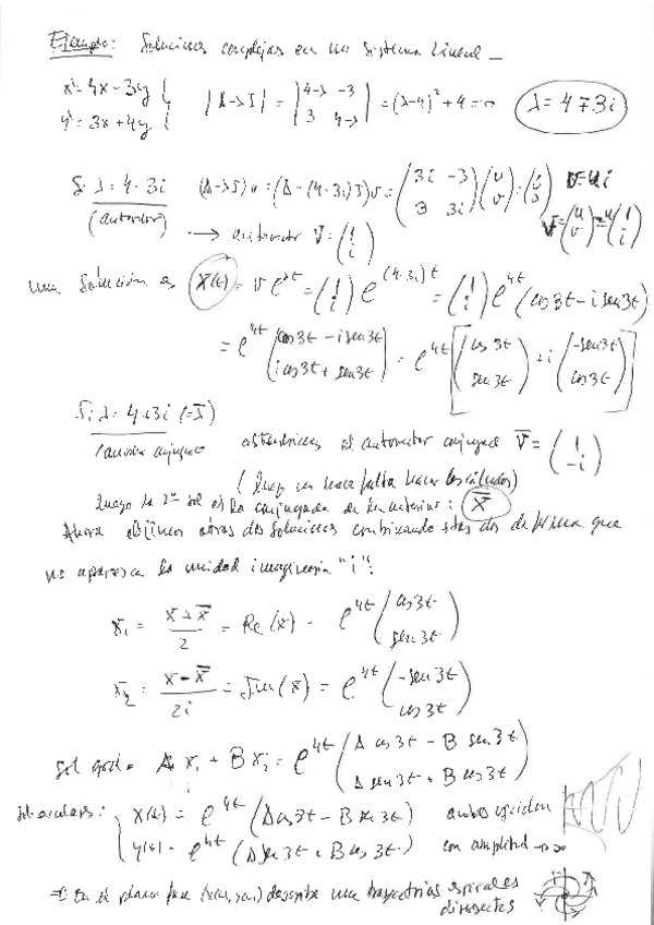
He publicado nuevos examenes de 2º Ecuaciones Diferenciales y Modelización: Ejemplo-Autovalores-complejos.pdf

1 página
Anónimo

@Anónimo

He publicado nuevos examenes de 2º Ecuaciones Diferenciales y Modelización: EDOExamenJulio-4.pdf

1 página
Anónimo

@Anónimo

He publicado nuevos examenes de 2º Ecuaciones Diferenciales y Modelización: 2012232parcial-soluciones.pdf

8 páginas
Anónimo

@Anónimo

He publicado nuevos examenes de 2º Ecuaciones Diferenciales y Modelización: soluciones2parciall19.20.pdf

3 páginas

He publicado nuevos examenes de 2º Ecuaciones Diferenciales y Modelización: EDMSegundo-Control-Respuestas.pdf

2 páginas

He publicado nuevos apuntes de 2º Ecuaciones Diferenciales y Modelización: Apuntes-y-ejercicios.pdf

7 páginas

He publicado nuevos examenes de 2º Ecuaciones Diferenciales y Modelización: Ecuaciones.pdf

1 página

He publicado nuevos apuntes de 2º Ecuaciones Diferenciales y Modelización: TEMA-3.pdf

4 páginas

He publicado nuevos apuntes de 2º Ecuaciones Diferenciales y Modelización: TEMA-4.pdf

1 página
Anónimo

@Anónimo

He publicado nuevos apuntes de 2º Ecuaciones Diferenciales y Modelización: ecuaciones-diferemcisles.pdf

10 páginas

(Fórmulas y ejemplos paso a paso)

8 páginas

He publicado nuevos apuntes de 2º Ecuaciones Diferenciales y Modelización: TEMA1.pdf

3 páginas

apuntes

-

Ecuaciones

He publicado nuevos apuntes de 2º Ecuaciones Diferenciales y Modelización: Ecuaciones

Problema-tema-1-clase-.pdf
Esquemas-tema-2-.pdf
Problema-valor-inicial-.pdf
Tema-1.pdf
Documento-escaneado.pdf
Problema-valor-inicial-1.pdf

He publicado nuevos apuntes de 2º Ecuaciones Diferenciales y Modelización: Apuntes-EDM.pdf

23 páginas

He publicado nuevos apuntes de 2º Ecuaciones Diferenciales y Modelización: ejercicios-ecuaciones.pdf

14 páginas

apuntes

-

Ecuaciones Diferenciales

He publicado nuevos apuntes de 2º Ecuaciones Diferenciales y Modelización: Ecuaciones Diferenciales

TEMAS-2-y-3-de-Ecuaciones-diferenciales.pdf
TEMA-1.pdf

He publicado nuevos apuntes de 2º Ecuaciones Diferenciales y Modelización: ECUACIONES-DIFERENCIALES-3.pdf

7 páginas

He publicado nuevos apuntes de 2º Ecuaciones Diferenciales y Modelización: ECUACIONES-DIFERENCIALES-1.pdf

23 páginas

He publicado nuevos apuntes de 2º Ecuaciones Diferenciales y Modelización: ECUACIONES-DIFERENCIALES-2.pdf

8 páginas
¡Estás al día!

¡Estás al día!

Has visto todos los archivos