soluciones-examen-noviembre.pdf

Mathematician

Ecuaciones Diferenciales

17 archivos·

Ejercicios-temas-ED.pdf

70 páginas

Examenes-Ecuaciones-Diferenciales.pdf

52 páginas

ed-2016-2017-examen-noviembre.pdf

2 páginas

examenes-2015-2016.pdf

12 páginas

soluciones-examen-noviembre.pdf

4 páginas

soluciones-examenenero2018000001.pdf

3 páginas

soluciones-examen-noviembre-2011001.pdf

5 páginas

LAPLACIANO-EN-TRES-DIMENSIONES.pdf

5 páginas

ejercicios-primer-parcial001.pdf

9 páginas

laplaciano-esfericas.pdf

7 páginas

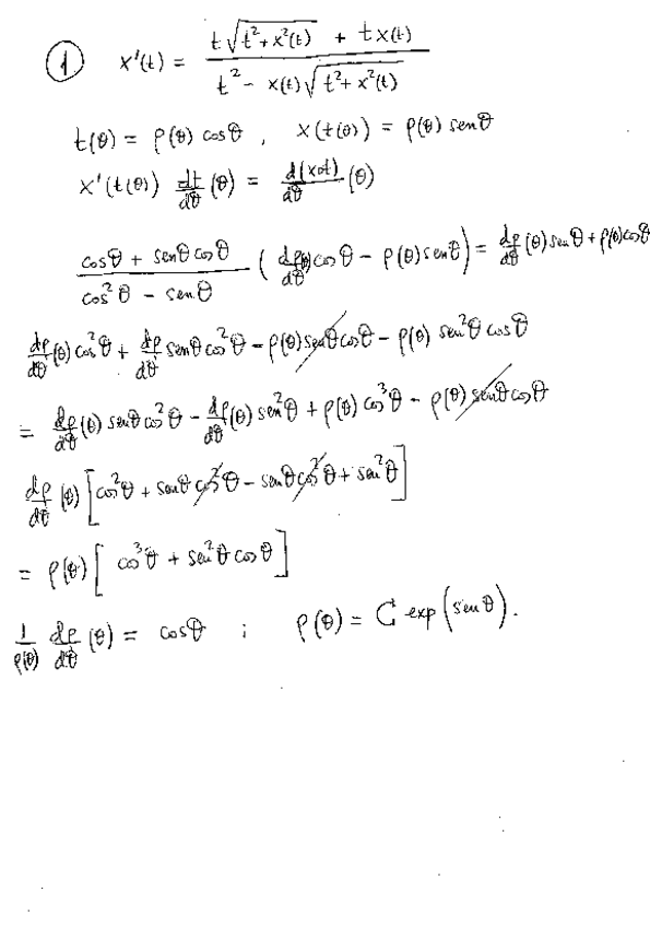
ejercicio-30.pdf

4 páginas

soluciones0001.pdf

6 páginas

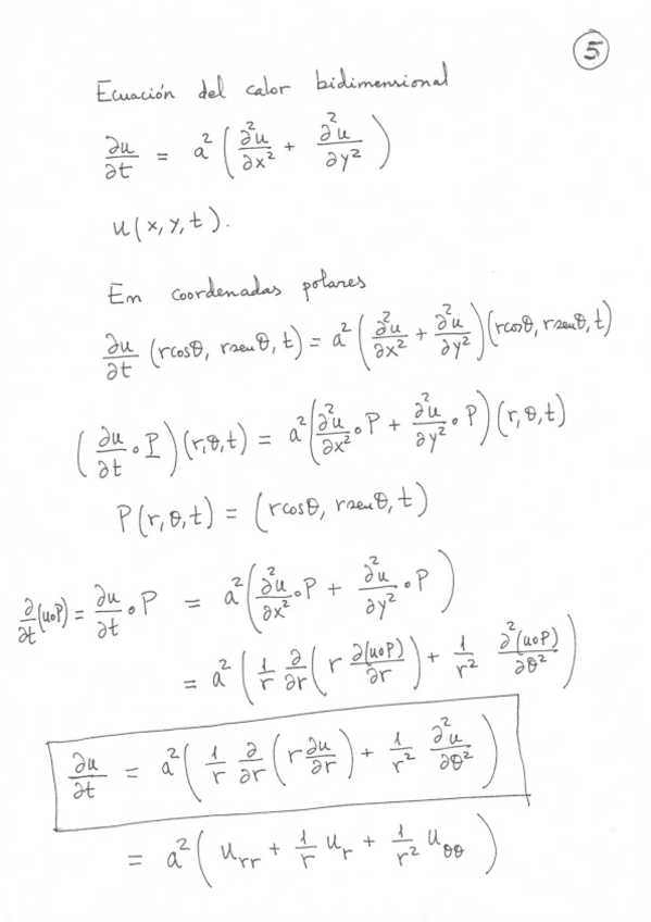
ecuacion-calor-polares001.pdf

3 páginas

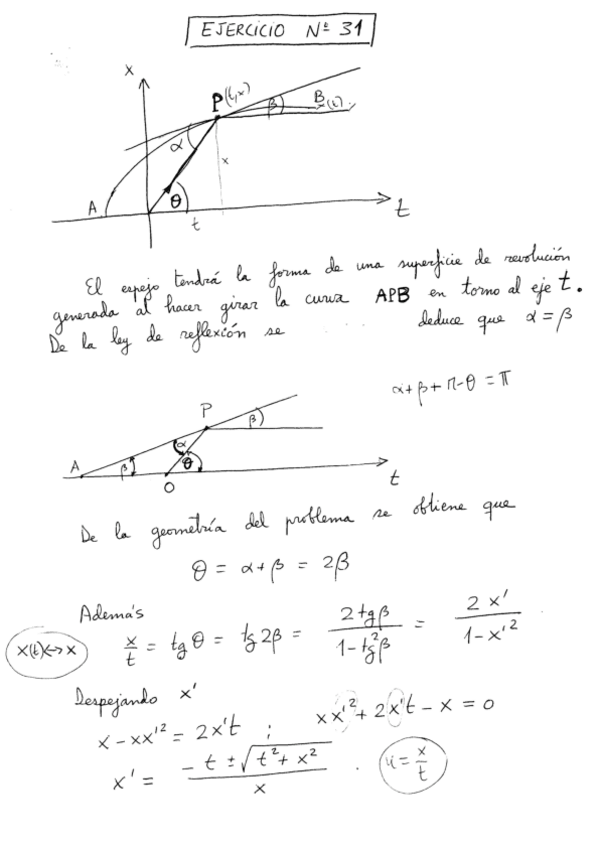
ejercicios-31-34.pdf

8 páginas

Laplaciano-mathematica-esfericas.pdf

1 página

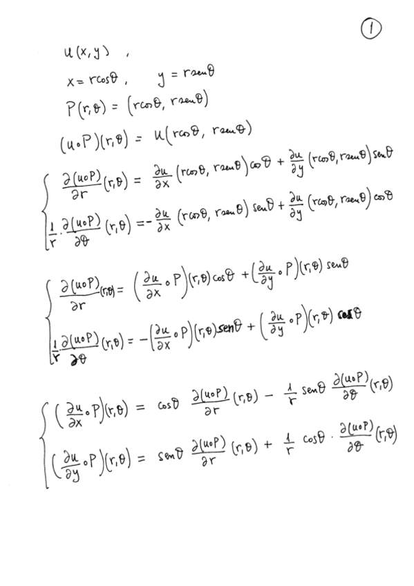
laplaciano-polares001.pdf

4 páginas

ondas0001.pdf

4 páginas

content_copy

Archivos recomendados