9 transformada e inversa de laplace.pdf

Adrian_Vega

Ejercicios de Examenes separados por tipo de ejercicio

9 archivos·

1 homogenea- no homogenea y wronskiano.pdf

6 páginas

6 matrices (sistema de ecu. lineales).pdf

13 páginas

7 Matrices 3x3-4x4.pdf

5 páginas

8 Problema frontera.pdf

3 páginas

5 heun- euler.pdf

5 páginas

3 Circuitos.pdf

4 páginas

4 ecuaciones(lineal-separable,bernoulli y p.cauchy).pdf

17 páginas

2 Analisis cualitativo.pdf

5 páginas

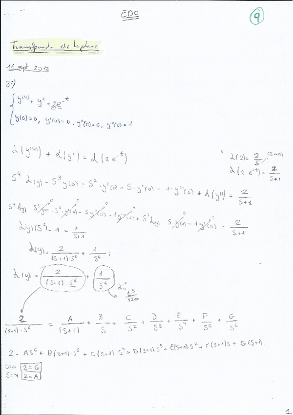
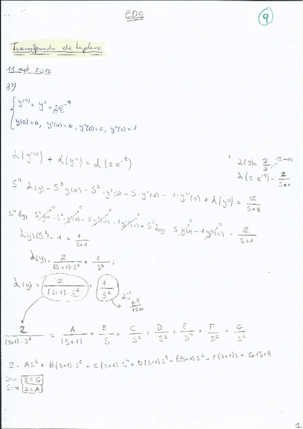
9 transformada e inversa de laplace.pdf

15 páginas

content_copy

Archivos recomendados