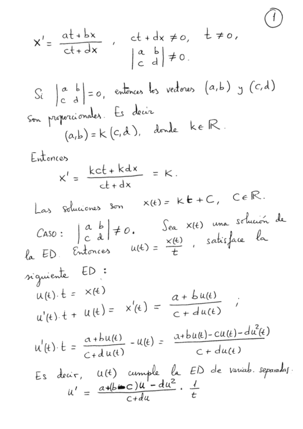
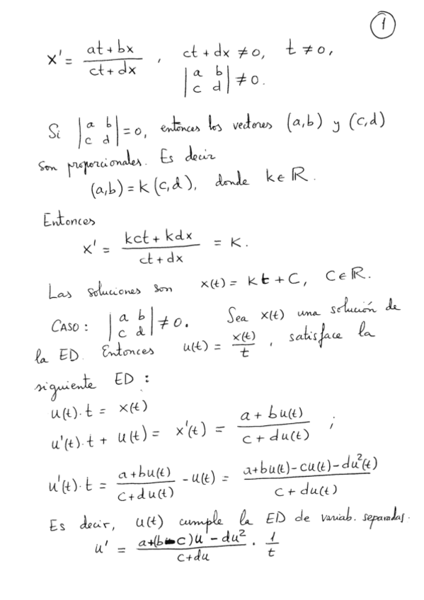
Matematic2

ejercicios-primer-parcial001.pdf

Miniatura del documento ejercicios-primer-parcial001.pdf

Portada

Miniatura del documento ejercicios-primer-parcial001.pdf

Fecha de subida

27 ene 2020

Categoría

ejercicios

Etiquetas

category

ejercicios

content_copy

Archivos recomendados