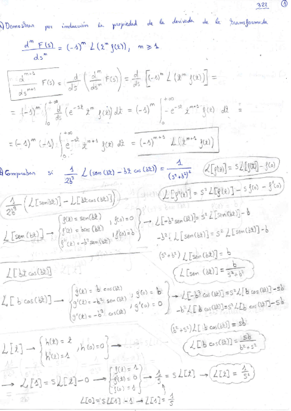
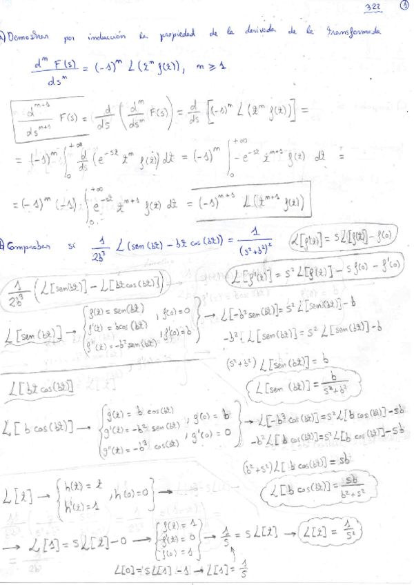
Transformada-de-Laplace.pdf
Portada
Asignatura
account_balance
Grado en Ingeniería Mecánica (UDC)
Fecha de subida
18 nov 2022
Categoría
ejercicios
Etiquetas
content_copy
Portada
Asignatura
Grado en Ingeniería Mecánica (UDC)
Fecha de subida
18 nov 2022
Categoría
ejercicios
Etiquetas