Portada
Asignatura
Grado en Ingeniería Agroalimentaria y del Medio Rural (UCO)
Edafología
Fecha de subida
02 feb 2021
Categoría
apuntes
Etiquetas
Apuntes - Resumen de Edafología.docx
docx
76
0
Apuntes - Resumen-de-Edafologia-teoria.pdf
pdf
19 páginas
316
3
Apuntes - Memorias de las prácticas de edafología.docx
85
Exámenes - Examen-enero-2023.pdf
2 páginas
233
1
Apuntes - EX-EDAFOLOGIA-FISICA-RESUELTOS.pdf
10 páginas
279
2
Apuntes - Resumen-de-Edafologia.docx
83
Apuntes - Preguntas-de-Teoria-Rafael-Orozco.pdf
14 páginas
218
Apuntes - PREGUNTAS-EXAMENES-EDAFOLOGIA.pdf
9 páginas
134
4
Trabajos - Informe-de-analisis-de-suelo.pdf
7 páginas
306
Apuntes - Trabajo de Prácticas Juan Moreno Andrada-Vanderwilde.docx
43
Exámenes - WhatsApp-Image-2018-08-29-at-11.jpg
jpg
70
Apuntes - Temario.pdf
15 páginas
89
Apuntes - Formulario-EDAFOLOGIA.pdf
4 páginas
155
Apuntes - TEST-EDAFOLOGIA.pdf
5 páginas
138
124
Prácticas - informe edafo SANCHO.GARCIA.BLASCO.pdf
8 páginas
173
Apuntes - Calcular-la-cantidad-de-MO.docx
25
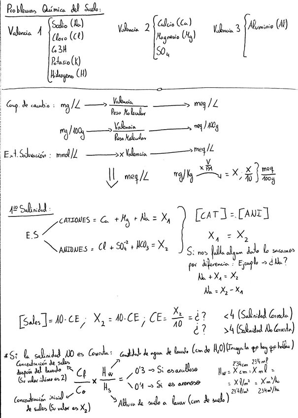
Ejercicios - PROBLEMAS RESUELTOS QUÍMICA EDAFOLOGÍA
16 páginas
113
Apuntes - MAT-ORGANICA-EDAFOLOGIA.pdf
6 páginas
120
Apuntes - Apuntes-clase-2-11.pdf
104