Portada
Asignatura
Grado en Ingeniería Mecánica (UCA)
Elasticidad y Resistencia de Materiales I
Fecha de subida
16 ene 2019
Categoría
examenes
Etiquetas
Apuntes - EXAMENES-ERMI.zip
zip
52
0
Apuntes - TEST-EXAMEN-ERMI.pdf
pdf
8 páginas
90
1
Apuntes - ERMI QUIZ.pdf
6 páginas
55
Exámenes - EJERCICIOS DE EXAMEN Y PROBLEMAS.pdf
42 páginas
112
Exámenes - EXAMEN Diciembre 2016.pdf
7 páginas
57
Exámenes - EX_MEN_FEBRERO_.pdf
3 páginas
Apuntes - Boletines-de-Problemas-ERMI.pdf
64 páginas
54
Apuntes - t3.pdf
2 páginas
41
Prácticas - practica-1.xlsx
xlsx
21
Apuntes - ERM1-TODO-GIM.pdf
51
Apuntes - Examen-9.pdf
4 páginas
70
Apuntes - 192-PREGUNTAS-RM.pdf
29 páginas
40
Apuntes - Seminarios-ERMI.pdf
26 páginas
Apuntes - 8 pasos viga conugada.pdf
36
Exámenes - EXAMEN A RESUELTO.pdf
10 páginas
58
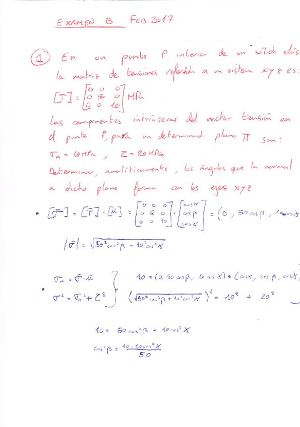
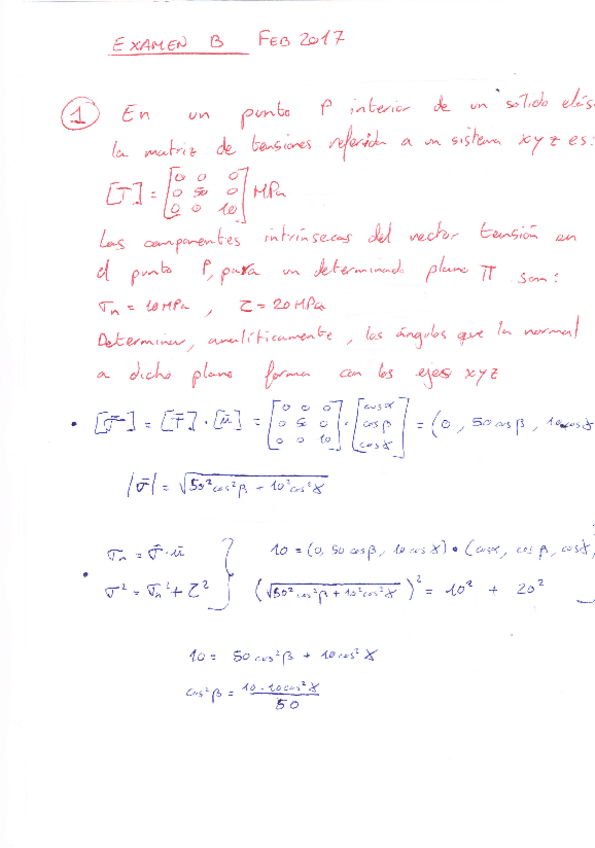
Exámenes - EXAMEN B ejercicio 1.pdf
53
Ejercicios - Problemas tensiones resueltos paso a paso.pdf
47
Exámenes - Materiales-tipo-test-TODAS-LAS-PREGUNTAS-CON-SOL.pdf
Test - TESTseptiembre2020noresuelto.pdf
56
Apuntes - PRACTICA-4-TEMA-3-Y-4-ERMI.pdf