Elasticidad y Resistencia de Materiales I

chevron_left
chevron_right
Todo
Prácticas
chevron_left
chevron_right

practicas

-

PRACTICAS RESUELTAS

He publicado nuevos practicas de 2º Elasticidad y Resistencia de Materiales I: PRACTICAS RESUELTAS

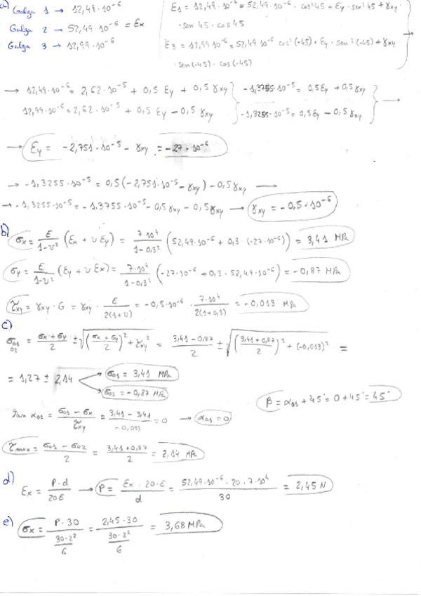
04ERM-I-Elasticidad-roseta-1.pdf
PR3-ERM-I-HOOKE.pdf
Practica-2-.pdf
PR6-ERM-I-svm.pdf
Trabajo-ERM-I-Cartel-de-trafico.pdf
Practica-4-ERM.pdf
¡Estás al día!

¡Estás al día!

Has visto todos los archivos