Portada
Asignatura
Grado en Ingeniería de Tecnologías Industriales (URJC)
Elasticidad y Resistencia de Materiales
Fecha de subida
20 sep 2022
Categoría
ejercicios
Etiquetas
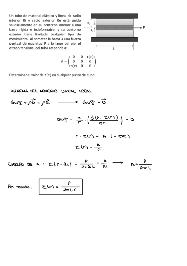
Prácticas - Practica-2.pdf
pdf
8 páginas
173
1
Prácticas - Practica-1.pdf
6 páginas
172
0
Ejercicios - Problemas-Resistencia-2.pdf
33 páginas
122
Ejercicios - Problemas-Resistencia-4.pdf
32 páginas
143
Exámenes - Solucion-Examen-convocatoria-ordinaria-20-21.pdf
4 páginas
133
Ejercicios - Problemas-Elasticidad-3.pdf
28 páginas
112
Ejercicios - Problemas-Elasticidad-4.pdf
14 páginas
98
Exámenes - Examen-practicas-.pdf
3 páginas
123
Ejercicios - Problemas-Resistencia-3.pdf
13 páginas
117
2
Exámenes - Examen-convocatoria-adelantada-sept-21-22-solucion.pdf
118
Prácticas - Practica-3.pdf
2 páginas
120
Exámenes - solucionparcial20192020.pdf
124
Apuntes - T8FLEXION-.pdf
30 páginas
102
Apuntes - T2DEFORMACIONES-Y-DESPLAZAMIENTOS.pdf
12 páginas
85
Prácticas - ExamenLaboratorio.pdf
126
Exámenes - Examen-adelantado-ERM-septiembre-2122.pdf
Apuntes - T6ESFUERZOS.pdf
78
Apuntes - T1FUERZAS-INTERNAS-EN-MEDIOS-CONTINUOS-.pdf
20 páginas
72
Exámenes - Examen-parcial.pdf
100
Apuntes - T4ELASTICIDAD-LINEAL.pdf
71