user_1994931
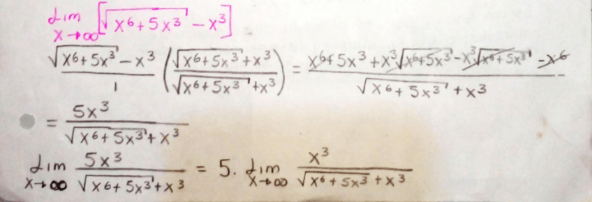
7-Lateralws-y-otros-tipos-de-limites-Ejer.pdf
Exámenes - Guia-de-ETS-ELECTRICIDAD-Y-MAGNETISMO.pdf
pdf
30 páginas
15
0
Apuntes - ETS-Electricidad-y-Magnetismo-.pdf
3 páginas
24
2
Apuntes - Guia-Ejercicio10-Parcial-2.pdf
0 páginas
5
1
Apuntes - Guia-Ejercicio6-Parcial-2.pdf
4
Apuntes - 2do-parcial-Examen-Ejercicio-1.pdf
Apuntes - Guia-Ejercicio2-Parcial-2.pdf
Apuntes - Guia-Ejercicio1-Parcial-2.pdf
3
Apuntes - Guia-Ejer9-Parcial-2.pdf
Apuntes - 2do-parcial-Examen-Ejercicio-2.pdf
Apuntes - 2do-parcial-Exa-Eje4.pdf
Apuntes - Guia-Ejer8-Parcial-2.pdf
Apuntes - Guia-Ejer7-Parcial-2.pdf
Apuntes - 2do-parcial-Examen-Ej-5.pdf
Apuntes - 2do-parcial-Examen-Ej-3.pdf
Apuntes - 11-Int-Por-partes.pdf
Apuntes - 10-Integracion-por-partes.pdf
Apuntes - 9-Integracion-Fracciones-Parciales.pdf
Apuntes - 8-ejercicio-Integracion-Fracciones-parciales.pdf
Apuntes - 7-Lateralws-y-otros-tipos-de-limites-Ejer.pdf