Electromagnetismo II

chevron_left
chevron_right
Todo
Apuntes
Ejercicios
Exámenes
chevron_left
chevron_right

examenes

-

Exámenes

He publicado nuevos examenes de 3º Electromagnetismo II: Exámenes

Electro-II-Final-mayo-2024.pdf
Electro-II-Primer-parcial-2024.pdf
Electro-II-Segundo-parcial-2024.pdf

ejercicios

-

Ejercicios resueltos

He publicado nuevos ejercicios de 3º Electromagnetismo II: Ejercicios resueltos

Electro-II-Ejercicios-T1.pdf
Electro-II-Ejercicios-T2.pdf
Electro-II-Ejercicios-T3.pdf
Electro-II-Ejercicios-T4.pdf
Electro-II-Ejercicios-T5.pdf

examenes

-

Examenes 2020

He publicado nuevos examenes de 3º Electromagnetismo II: Examenes 2020

Exa8-Jun-Prob3.pdf
Problema-2Julio2020.pdf
Problema-1Julio2020.pdf
Exa8-Jun-Prob1.pdf
TeoJul2020.pdf
Exa8-Jun-Prob2.pdf

He publicado nuevos apuntes de 3º Electromagnetismo II: Teoria-importante.pdf

33 páginas

He publicado nuevos examenes de 3º Electromagnetismo II: Problemas-examen.pdf

19 páginas

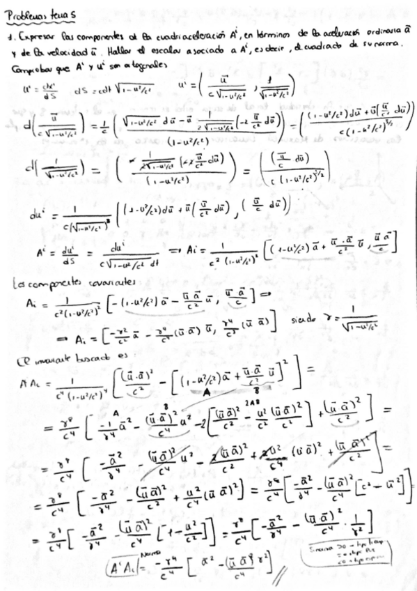
He publicado nuevos ejercicios de 3º Electromagnetismo II: Ejercicios-tema-5.pdf

10 páginas

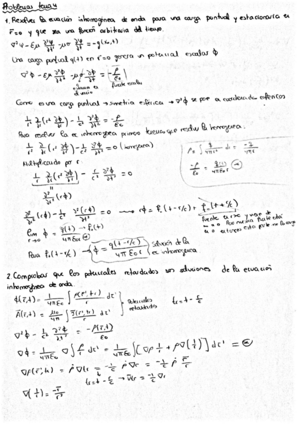
He publicado nuevos ejercicios de 3º Electromagnetismo II: Ejercicios-tema-4.pdf

4 páginas

He publicado nuevos ejercicios de 3º Electromagnetismo II: Ejercicios-tema-3.pdf

6 páginas

He publicado nuevos ejercicios de 3º Electromagnetismo II: Ejercicios-tema-2C.pdf

14 páginas

He publicado nuevos ejercicios de 3º Electromagnetismo II: Ejercicios-tema-2B.pdf

10 páginas

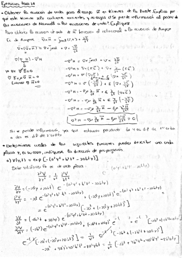
He publicado nuevos ejercicios de 3º Electromagnetismo II: Ejercicios-tema-2A.pdf

11 páginas

He publicado nuevos ejercicios de 3º Electromagnetismo II: Ejercicios-tema-1B.pdf

16 páginas

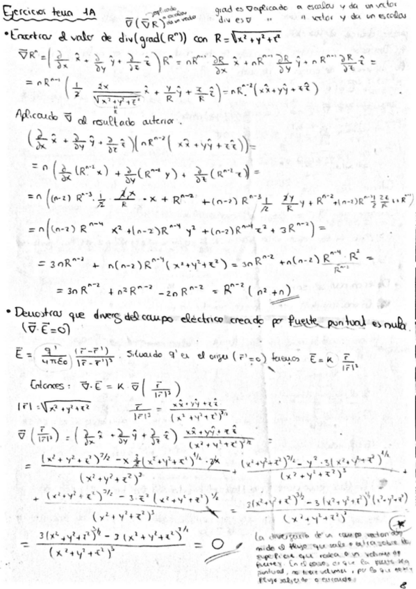
He publicado nuevos ejercicios de 3º Electromagnetismo II: Ejercicios-tema-1A.pdf

13 páginas

apuntes

-

Electromagnetismo II

He publicado nuevos apuntes de 3º Electromagnetismo II: Electromagnetismo II

Electromagnetismo-II.pdf
Ejercicios-electromagnetismo-II.pdf
Examenes-electromagnetismo-II.pdf
¡Estás al día!

¡Estás al día!

Has visto todos los archivos