Electromagnetismo II

Todo
Apuntes
Ejercicios
Exámenes
Otros
Trabajos
chevron_left
chevron_right

ejercicios

-

TUTELADAS (y ejs teoría) ELECTRO II

He publicado nuevos ejercicios de 3º Electromagnetismo II: TUTELADAS (y ejs teoría) ELECTRO II

BOLETIN-1-ELECTRO-II.pdf
BOLETIN-2-ELECTRO-II.pdf
BOLETIN-3-ELECTRO-II.pdf
BOLETIN-4-ELECTRO-II.pdf
BOLETIN-5-ELECTRO-II.pdf
BOLETIN-6-ELECTRO-II.pdf

Todo el curso en 7 páginas, to gozao mi primo

7 páginas

examenes

-

examenes años anteriores

He publicado nuevos examenes de 3º Electromagnetismo II: examenes años anteriores

ExProblemas1aConv23-24.pdf
ExTeoria1aConv-2324.pdf
ExTeoria1aConv22-23.pdf
ExTeoria2aConv-23-24.pdf
ExTeoria2aConv22-23.pdf

apuntes

-

Butlletins electroII

He publicado nuevos apuntes de 3º Electromagnetismo II: Butlletins electroII

But-1-electroII.pdf
But3-electroII.pdf
But4-electroII-2.pdf
But5-electroII.pdf

Electromagnetismo II Tema 4 Energía Magnética

2 páginas

Electromagnetismo II Tema 3 Energía Electrostática

1 página

Electromagnetismo II Tema 7: Teoría de Circuitos

2 páginas

Electromagnetismo II Tema 6 Líneas de Transmisión, Guías de Onda y Cavidades Resonantes

7 páginas

Electromagnetismo II Tema 5 Energía Electrostática y Momento Magnético

2 páginas

apuntes

-

Resums electro II

He publicado nuevos apuntes de 3º Electromagnetismo II: Resums electro II

Tema-1-Camps-electric-i-magnetic-en-els-medis-materials.pdf
Tema-2-Ones-electromagnetiques-en-medis-materials.pdf
Tema-3-Lenergia-dels-camps-estatics.pdf
Tema-4-Lenergia-i-els-moments-electromagnetics.pdf

Electromagnetismo 2. 2 Ondas Electromagnéticas en Medios Materiales No Cargados Conductores

1 página

ejercicios

-

Tuteladas

He publicado nuevos ejercicios de 3º Electromagnetismo II: Tuteladas

Boletin-1.pdf

Electromagnetismo 2 Tema 1 El Campo Electromagnético en los Medios Materiales

1 página

ejercicios

-

Butlletins

He publicado nuevos ejercicios de 3º Electromagnetismo II: Butlletins

Butlleti224.pdf
Bulleti524.pdf
Bulleti324.pdf
Bulleti424.pdf
Butlleti624.pdf
Butlleti124.pdf

examenes

-

EXAMENES

He publicado nuevos examenes de 3º Electromagnetismo II: EXAMENES

Examenes.pdf

apuntes

-

Boletines

He publicado nuevos apuntes de 3º Electromagnetismo II: Boletines

Boletin-1.pdf
Boletin-2.pdf
Boletin-3.pdf
Boletin-4.pdf
Boletin-5.pdf
Boletin-6.pdf

He publicado nuevos examenes de 3º Electromagnetismo II: Examen1aConv 2024 resuelto.pdf

8 páginas

He publicado nuevos examenes de 3º Electromagnetismo II: EMIIProblemas20241aConv.pdf

5 páginas

apuntes

-

Auntes electro II con ejemplos

He publicado nuevos apuntes de 3º Electromagnetismo II: Auntes electro II con ejemplos

Tema-1.pdf
Tema-2.pdf
Tema-3.pdf
Tema-4.pdf
Tema-4-Resumen.pdf
Tema-5.pdf

apuntes

-

Algunos temas resumidos y boletines resueltos 23-24

He publicado nuevos apuntes de 3º Electromagnetismo II: Algunos temas resumidos y boletines resueltos 23-24

Tema-4-La-energia-y-los-momentos-EM.pdf
Tema-1-Campo-electromagnetico-en-materiales.pdf
Tema-2-Ondas-EM.pdf
Tema-3-La-energia-de-los-campos-estaticos.pdf
Tema-6-Guiado-de-ondas-EM.pdf
Tema-5-Teoria-de-circuitos-electricos.pdf

apuntes

-

Apuntes Castellano con ejercicios

He publicado nuevos apuntes de 3º Electromagnetismo II: Apuntes Castellano con ejercicios

1.-Campo-EM-medios-materiales.pdf
6.-Guiado-de-ondas-E.M.pdf
T2Ondas-EM-medios-materiales.pdf
T3-Energia-campos-estaticos.pdf
T4-Energia-y-momentos-e.m..pdf
T5-Teoria-de-circuitos-electricos.pdf

He publicado nuevos apuntes de 3º Electromagnetismo II: Resolucion-Examenes-EMII.pdf

11 páginas

He publicado nuevos apuntes de 3º Electromagnetismo II: Formularios-Por-Temas-EMII.pdf

5 páginas

examenes

-

Exàmens

He publicado nuevos examenes de 3º Electromagnetismo II: Exàmens

EMIIExamen1a2021.pdf
EMIIExamen2a2022.pdf
EMIIExamenTeoria1a2022profe.pdf

ejercicios

-

Tutelades resoltes

He publicado nuevos ejercicios de 3º Electromagnetismo II: Tutelades resoltes

ElectroIIBut1.pdf
ElectroIIBut2.pdf
ElectroIIBut3.pdf
ElectroIIBut4.pdf
ElectroIIBut5.pdf
ElectroIIBut6.pdf

apuntes

-

Apunts de classe

He publicado nuevos apuntes de 3º Electromagnetismo II: Apunts de classe

EMII-Tema1.pdf
EMII-Tema2.pdf
EMII-Tema3.pdf
EMII-Tema4.pdf
EMII-Tema5.pdf
EMII-Tema6.pdf

He publicado nuevos apuntes de 3º Electromagnetismo II: Formulario-Elm-II.pdf

13 páginas

He publicado nuevos trabajos de 3º Electromagnetismo II: Entregable-T.-Helmholtz.pdf

2 páginas

He publicado nuevos apuntes de 3º Electromagnetismo II: Electro2Formulario.pdf

12 páginas

He publicado nuevos apuntes de 3º Electromagnetismo II: Electro2Teoria.pdf

44 páginas

ejercicios

-

Boletines Resueltos Electro II Castellano

He publicado nuevos ejercicios de 3º Electromagnetismo II: Boletines Resueltos Electro II Castellano

Boletin-1-Campo-EM-en-medios-materiales.pdf
Boletin-2-Ondas-EM-en-medios-materiales.pdf
Boletin-3-Energia-electrostatica.pdf
Boletin-4-Energia-magnetostatica.pdf
Boletin-5-Teorema-de-Poynting.pdf
Boletin-6-Guia-de-ondas.pdf

He publicado nuevos apuntes de 3º Electromagnetismo II: T3-T4-emll.pdf

6 páginas

T1-T2 resum

4 páginas

ejercicios

-

Boletin resuelto EMll

He publicado nuevos ejercicios de 3º Electromagnetismo II: Boletin resuelto EMll

T1-boletin-EMll.pdf

apuntes

-

Apuntes electro II

He publicado nuevos apuntes de 3º Electromagnetismo II: Apuntes electro II

Apuntes-intro-electro-en-medios-materiales.pdf
T1-apuntes-electroII.pdf

He publicado nuevos apuntes de 3º Electromagnetismo II: EMIIT1.pdf

30 páginas

He publicado nuevos apuntes de 3º Electromagnetismo II: EMIIT6.pdf

12 páginas

He publicado nuevos apuntes de 3º Electromagnetismo II: EMIIT5.pdf

6 páginas

He publicado nuevos apuntes de 3º Electromagnetismo II: EMIIT4.pdf

6 páginas

He publicado nuevos apuntes de 3º Electromagnetismo II: EMIIT3.pdf

11 páginas

He publicado nuevos apuntes de 3º Electromagnetismo II: EMIIT2.pdf

15 páginas

He publicado nuevos apuntes de 3º Electromagnetismo II: T4.pdf

8 páginas

He publicado nuevos apuntes de 3º Electromagnetismo II: T3.pdf

10 páginas

He publicado nuevos apuntes de 3º Electromagnetismo II: T2.pdf

25 páginas

He publicado nuevos apuntes de 3º Electromagnetismo II: T1.pdf

38 páginas

He publicado nuevos apuntes de 3º Electromagnetismo II: T5.pdf

5 páginas

He publicado nuevos apuntes de 3º Electromagnetismo II: T6.pdf

15 páginas

He publicado nuevos apuntes de 3º Electromagnetismo II: formulario-electro-II.pdf

2 páginas

He publicado nuevos apuntes de 3º Electromagnetismo II: apuntes-electro-II-1.pdf

11 páginas

apuntes

-

Apuntes EM2 2021 - 2022

He publicado nuevos apuntes de 3º Electromagnetismo II: Apuntes EM2 2021 - 2022

Em2-Tema-3.pdf
Em2-Tema-1.pdf
Em2-Tema-4.pdf
Em2-Tema-2.pdf
Anónimo

@Anónimo

ejercicios

-

Butlletins

He publicado nuevos ejercicios de 3º Electromagnetismo II: Butlletins

Butlletin tema 6
Butlleti tema 1
Butlleti tema 2
Butlleti tema 3
Butlleti tema 4
Butlleti tema 5

He publicado nuevos examenes de 3º Electromagnetismo II: Examen-Electro-Junio-de-2021.pdf

3 páginas
Anónimo

@Anónimo

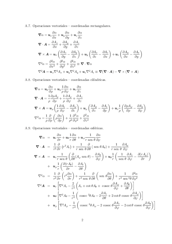
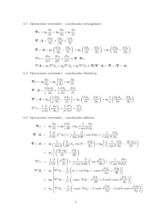
He publicado nuevos apuntes de 3º Electromagnetismo II: relaciones-vectoriales.pdf

4 páginas
Anónimo

@Anónimo

He publicado nuevos ejercicios de 3º Electromagnetismo II: ilovepdfmerged.pdf

13 páginas
Anónimo

@Anónimo

He publicado nuevos apuntes de 3º Electromagnetismo II: 2TeoremadePoynting.pdf

11 páginas
Anónimo

@Anónimo

apuntes

-

Exámenes recientes

He publicado nuevos apuntes de 3º Electromagnetismo II: Exámenes recientes

2018-teora-junio.pdf
2017-problemasv2.pdf
2016-problemasv.pdf
2016-problemasv2.pdf
2018-problemasv.pdf
extra.pdf
Anónimo

@Anónimo

ejercicios

-

Ejercicios evaluación continua

He publicado nuevos ejercicios de 3º Electromagnetismo II: Ejercicios evaluación continua

minitest-4.pdf
Ministest3.pdf
Evaluacion-continua-Tutelados-Electromagnetismo-II-2.pdf
Evaluacion-continua-Tutelados-Electromagnetismo-II-2.pdf
Tercer-ejercicio-evaluacion-continua-tutelados-a.pdf
Anónimo

@Anónimo

ejercicios

-

Ejercicios T4 resueltos Errandonea

He publicado nuevos ejercicios de 3º Electromagnetismo II: Ejercicios T4 resueltos Errandonea

Problema-4-Tema-4.pdf
Problema-7.pdf
Problema-3-Tema-4.pdf
Problema-2.pdf
Problema-1.pdf
Problema-5.pdf
Anónimo

@Anónimo

ejercicios

-

Ejercicios T5 resueltos Errandonea

He publicado nuevos ejercicios de 3º Electromagnetismo II: Ejercicios T5 resueltos Errandonea

Problema-11-Tema-5.pdf
Problema-6-Tema-5.pdf
Problema-3-Tema-5.pdf
Problema-9-Tema-5.pdf
Problema-7-Tema-5.pdf
Problema-4-Tema-5.pdf
Anónimo

@Anónimo

apuntes

-

Exámenes resueltos y ev. continua

He publicado nuevos apuntes de 3º Electromagnetismo II: Exámenes resueltos y ev. continua

Evaluacion-II.pdf
Evaluacion-III.pdf
Prueba-1-ano-pasado.pdf
Extra.pdf
Evaluacio-III.pdf
Prueba-1.pdf