Todo
Apuntes
Exámenes
chevron_left
chevron_right

He publicado nuevos apuntes de 2º Electromagnetismo y Optica: Electromagnetismo-2da-parte.pdf

6 páginas

He publicado nuevos apuntes de 2º Electromagnetismo y Optica: Electromagnetismo.pdf

3 páginas

He publicado nuevos examenes de 2º Electromagnetismo y Optica: resuelto-Pr2-2022-01-17.pdf

7 páginas

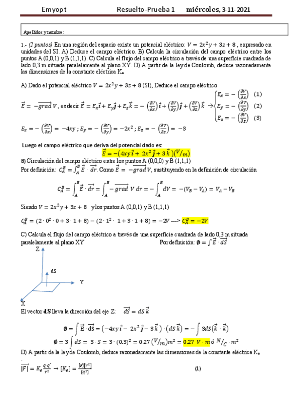
He publicado nuevos examenes de 2º Electromagnetismo y Optica: resuelto-Pr1-3-11-2021.pdf

5 páginas

He publicado nuevos examenes de 2º Electromagnetismo y Optica: resuelto-2Pr-25-de-enero-de-2023.pdf

7 páginas

He publicado nuevos apuntes de 2º Electromagnetismo y Optica: Formulario-de-Emyopt.pdf

2 páginas

He publicado nuevos examenes de 2º Electromagnetismo y Optica: 2021-01-25-Pr2-resuelto.pdf

5 páginas

He publicado nuevos examenes de 2º Electromagnetismo y Optica: 2020-11-4-Pr1-resuelto.pdf

6 páginas
Anónimo

@Anónimo

He publicado nuevos examenes de 2º Electromagnetismo y Optica: EXAMEN-OPTICA-2013.pdf

1 página
Anónimo

@Anónimo

He publicado nuevos examenes de 2º Electromagnetismo y Optica: exam-final-enero-2013.pdf

1 página
¡Estás al día!

¡Estás al día!

Has visto todos los archivos