Grado en Ingeniería Geomática y Topografía (UPV)
Valencia
Asignaturas de Grado en Ingeniería Geomática y Topografía (UPV)
Asignatura
arrow_downward1º
•
12 posts
1º
•
11 posts
2º
•
5 posts
1º
•
5 posts
1º
•
15 posts
3º
•
11 posts
3º
•
10 posts
4º
•
10 posts
2º
•
7 posts
2º
•
9 posts
2º
•
18 posts
3º
•
12 posts
3º
•
10 posts
3º
•
5 posts
3º
•
6 posts
3º
•
12 posts
2º
•
12 posts
4º
•
10 posts
1º
•
5 posts
4º
•
4 posts
1º
•
0 posts
3º
•
8 posts
1º
•
16 posts
2º
•
3 posts
1º
•
4 posts
1º
•
1 posts
2º
•
19 posts
4º
•
0 posts
2º
•
7 posts
4º
•
0 posts
4º
•
1 posts
4º
•
0 posts
3º
•
13 posts
4º
•
11 posts
2º
•
12 posts
1º
•
4 posts
3º
•
16 posts
3º
•
5 posts
4º
•
0 posts
4º
•
1 posts
4º
•
1 posts
2º
•
20 posts
4º
•
5 posts
1º
•
8 posts
Últimas publicaciones de Grado en Ingeniería Geomática y Topografía (UPV)
He publicado nuevos apuntes de 2º Electromagnetismo y Optica: Electromagnetismo.pdf
He publicado nuevos apuntes de 1º Instrumentación y observaciones topográficas: Topografia.pdf
He publicado nuevos apuntes de 1º Ajuste de Observaciones: Ajuste-de-observaciones.pdf
He publicado nuevos apuntes de 1º Métodos Matemáticos: Metodos-matematicos.pdf
He publicado nuevos apuntes de 1º Urbanismo y Ordenación del Territorio: Urbanismo.pdf
He publicado nuevos apuntes de 2º Tratamiento de imagen digital: Trat.-Imagen-digital.pdf
He publicado nuevos apuntes de 2º Matemática Aplicada: Matematica-aplicada.pdf
He publicado nuevos examenes de 2º Matemática Aplicada: examen-matematica-aplicada-1-y-solucion.pdf
Ejercicio resuelto por Marcelí y por mi en base a lo q se da en clase
Resuelto a lo q puedo copiar en clase no me da para mas la explicacion y no me entero de nada
He publicado nuevos apuntes de 1º Instrumentación y observaciones topográficas: instrumentacion-ejercicio-7.pdf
He publicado nuevos apuntes de 1º Urbanismo y Ordenación del Territorio: Document-2.pdf
He publicado nuevos examenes de 2º Sistemas de Información Geográfica: preguntassegundoparcial.pdf
He publicado nuevos examenes de 2º Métodos Topográficos: examen3triangulacion.pdf
He publicado nuevos test de 2º Organización y Gestión de Empresas: preguntas-org.pdf
He publicado nuevos examenes de 2º Métodos Topográficos: nivelacionpartepractica.pdf
He publicado nuevos apuntes de 1º Instrumentación y observaciones topográficas: primer-parcial.pdf
He publicado nuevos ejercicios de 2º Bases de Datos: primerparcialsql.pdf
He publicado nuevos test de 2º Geomorfología: testsfotointerpretacion.pdf
He publicado nuevos examenes de 3º Cartografía Matemática: Segundo-Parcial-2023-con-solucion.pdf
He publicado nuevos examenes de 3º Geodèsia espacial: Primer-Parcial-Geo-Esp-Con-Solucion.pdf
He publicado nuevos examenes de 3º Cartografía Matemática: Cartografia-matematica-examen-tipo-test-curso-2023-24.pdf
Control 1 2022-2023
He publicado nuevos examenes de 1º Instrumentación y observaciones topográficas: Recu-1.2-2022.jpeg
He publicado nuevos examenes de 1º Instrumentación y observaciones topográficas: Recu-1.1-2022.jpeg
He publicado nuevos apuntes de 1º Cartografía: TODAS-LAS-INFOGRAFIAS2022.pdf
He publicado nuevos examenes de 1º Cálculo: controles09-11-20221801-2023sol.pdf
He publicado nuevos examenes de 1º Álgebra: Parcial-2-de-algebra-2023-2024.pdf
apuntes
-
Prácticas 3D
He publicado nuevos apuntes de 1º Técnicas de Representación Gráfica: Prácticas 3D
He publicado nuevos apuntes de 1º Técnicas de Representación Gráfica: prueba3D.dwg
He publicado nuevos apuntes de 1º Técnicas de Representación Gráfica: prueba2D.dwg
examenes
-
Modelo1erparcial_2023-24
He publicado nuevos examenes de 1º Informática: Modelo1erparcial_2023-24
apuntes
-
Practicas 1 y 2 autocad
He publicado nuevos apuntes de 1º Técnicas de Representación Gráfica: Practicas 1 y 2 autocad
He publicado nuevos examenes de 3º Proyectos geomáticos y oficina técnica: Test22022-Resuelto.pdf
He publicado nuevos examenes de 4º Tratamiento y gestión de datos 3D: Examen-Practico-Resuelto.pdf
He publicado nuevos examenes de 2º Métodos Topográficos: 2009-Marzo-Poligonal.pdf
He publicado nuevos examenes de 2º Métodos Topográficos: 2011-Marzo-Poligonal.pdf
He publicado nuevos examenes de 2º Métodos Topográficos: 2010-Septiembre-Poligonal.pdf
He publicado nuevos examenes de 2º Métodos Topográficos: 2009-Junio-Triangulacion.pdf
He publicado nuevos examenes de 2º Métodos Topográficos: 2008-Septiembre-Nivelacion.pdf
He publicado nuevos examenes de 2º Métodos Topográficos: 2008-Parcial-Poligonal.pdf
He publicado nuevos examenes de 2º Métodos Topográficos: 2008-Junio-Final-Poligonal.pdf
He publicado nuevos examenes de 2º Métodos Topográficos: 2006-Marzo-Resolucion-Poligonal.pdf
He publicado nuevos examenes de 2º Métodos Topográficos: 2007-Junio-2007-Poligonal.pdf
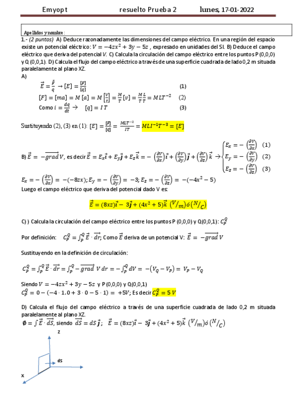
He publicado nuevos examenes de 2º Electromagnetismo y Optica: resuelto-Pr2-2022-01-17.pdf
