Apuntes_123
Ejercicios examen
Oscilador-en-puente-de-wien-Examen.pdf
1 página
Amplificadores.pdf
3 páginas
ejercicios-sumadores-Examen.pdf
Ejercicios-diodos-Examen.pdf
4 páginas
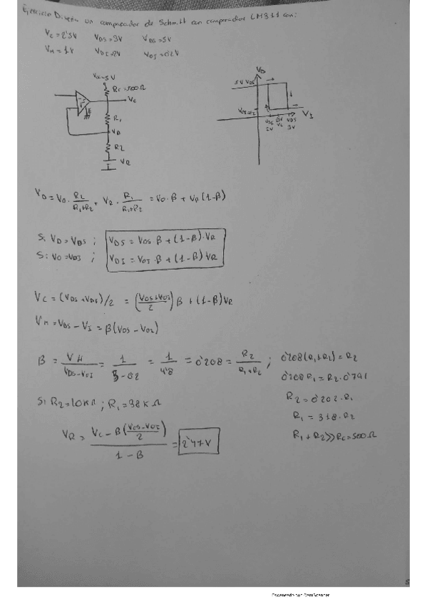
Comparador-de-Schmitt-Examen.pdf
Apuntes - Examenes2021.pdf
pdf
22 páginas
152
0
Apuntes - Practicas-Analogica.pdf
29 páginas
118
1
Apuntes - Resumen-Analogica.pdf
14 páginas
93
Apuntes - NuevoDocumento-2020-03-04-17.pdf
64 páginas
83
Apuntes - Ejercicios-Analogica.pdf
20 páginas
71
Apuntes - Apuntes-clase-Analogica.pdf
25 páginas
63
Exámenes - Problemas-Examenes.pdf
18 páginas
70
Apuntes - Ejercicios-Entregar.pdf
10 páginas
99
Apuntes - EJERCICIOS-BOLETINES-RESUELTOS.pdf
28 páginas
73
Exámenes - analogica.pdf
52
Apuntes - Resumen-para-examen.pdf
24
Ejercicios - ejercicios-resueltos-analogica-todos-los-temas.pdf
48 páginas
43
Apuntes - RESUMEN-TEORIA-EXAMEN.pdf
37
Prácticas - img20200228105847.pdf
5 páginas
Exámenes - Filtross.pdf
36
Exámenes - examenes-analogica.pdf
24 páginas
47
Apuntes - Resumen-de-todo-con-ejemplos.pdf
33 páginas
29
Apuntes - Apuntes-Analogica.pdf
83 páginas
22
Exámenes - Union-examenes.pdf
11 páginas
34
Exámenes - Comparador-de-Schmitt-Examen.pdf