b7n4n
Problemas varios
509s-MOS-solucion.pdf
1 página
505-BJT.pdf
503s-MOS-polarizacion-solucion.pdf
2 páginas
503-MOS-polarizacion.pdf
504-MOS-pequena-senal.pdf
511s-MOS-solucion.pdf
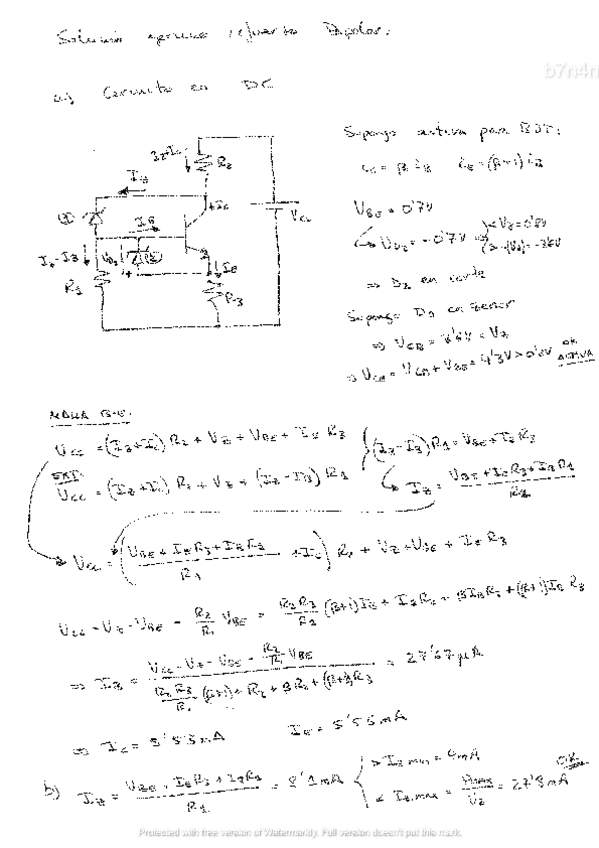
506s-BJT-solucion.pdf
3 páginas
507s-BJT-Solucion.pdf
511-MOS.pdf
513-Amp-Optico-MOS.pdf
Apuntes - Ejercicios-Clase-Tema-2-Amplificacion-con-transistores.pdf
pdf
19 páginas
3
0
Apuntes - TEMA2-Amplificacion-con-transistores.docx
docx
5
Ejercicios - 503s-MOS-polarizacion-solucion.pdf
4
Ejercicios - 503-MOS-polarizacion.pdf
Ejercicios - 511s-MOS-solucion.pdf
Ejercicios - 506s-BJT-solucion.pdf
Ejercicios - 507s-BJT-Solucion.pdf
Exámenes - ExamenJunio2014.pdf
Apuntes - TEMA6-Circuitos-no-lineales.docx
Apuntes - TEMA1-Fuentes-de-alimentacion-lineales.docx
Apuntes - TEMA3-AOs.docx
Apuntes - TEMA4-Respuesta-en-frecuencia.docx
Exámenes - ExamenJunio2013.pdf
Apuntes - Teoria-Tema-2-Amplificacion-con-transistores.pdf
6 páginas
Apuntes - Ejercicios-Clase-Tema-5-Realimentacion-Negativa.pdf
Ejercicios - 505-BJT.pdf
Exámenes - ExamenJunio2020.pdf
Exámenes - Solucion-Examen-Diciembre-2014.pdf
Apuntes - TEMA8-Osciladores.docx
Ejercicios - 509s-MOS-solucion.pdf