Merche1
Soluciones amplificadores
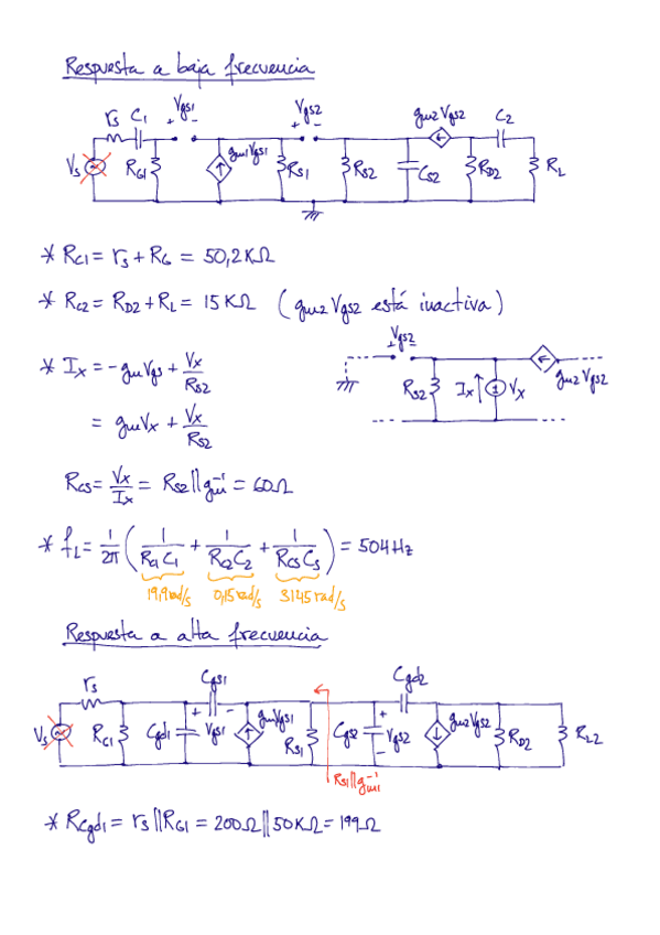
Ejercicio-3.pdf
2 páginas
4 páginas
1 página
3 páginas
Exámenes - Examenes-resueltos.pdf
pdf
34 páginas
167
0
Apuntes - Apuntes-Tema-1.pdf
26 páginas
105
Apuntes - Apuntes-Tema-2.pdf
16 páginas
106
Exámenes - SolucionFebrero2022.pdf
68
Apuntes - Resumen.pdf
6 páginas
83
Exámenes - SolucionFebrero2021.pdf
63
Apuntes - Formulario-a-mano.pdf
58
Exámenes - DIC20.pdf
55
Exámenes - SEP20.pdf
5 páginas
43
Ejercicios - Ejercicio-3.pdf
39
1
Exámenes - Febrero2017.pdf
37
Exámenes - FEB18PRAC.pdf
49
Exámenes - FEB17.pdf
31
Exámenes - DIC13SOL.pdf
9 páginas
46
35
29
Exámenes - DIC14SOL.pdf
34
26
25
Exámenes - PFEB17.pdf