Portada
Asignatura
Grado en Ingeniería Electrónica Industrial (US)
Electrónica de Potencia
Fecha de subida
21 feb 2018
Categoría
ejercicios
Etiquetas
Prácticas - Prácticas Resueltas PSPICE.rar
rar
73
1
Exámenes - EXAMENES DE POTENCIA14082016.compressed.pdf
pdf
40 páginas
283
2
Prácticas - PRÁCTICA 1 - ELECTRONICA DE POTENCIA.docx
docx
32
Apuntes - LIBRO DEL SOLUCIONARIO Power Electronics-Daniel W. Hart.pdf
494 páginas
188
Ejercicios - Tema 2.pdf
25 páginas
153
0
Apuntes - kupdf.com_electronica-de-potencia-1ra-edicion-daniel-w-hart.pdf
456 páginas
106
Apuntes - ELECTRONICA DE POTENCIAS (Daniel W. Hart).pdf
109
Apuntes - Resum problemas.pdf
2 páginas
107
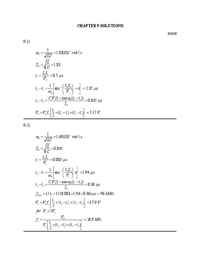
Ejercicios - Tema 4.pdf
7 páginas
126
Apuntes - Soluciones Tema 2.pdf
161
82
Apuntes - Soluciones Tema 4.pdf
138
Ejercicios - Tema 3.pdf
32 páginas
111
Apuntes - Soluciones Tema 3.pdf
139
Exámenes - EPSeptiembre20161.pdf
4 páginas
210
Exámenes - EP1Convocatoria20191.pdf
5 páginas
148
Exámenes - EP1Parcial06-071.pdf
165
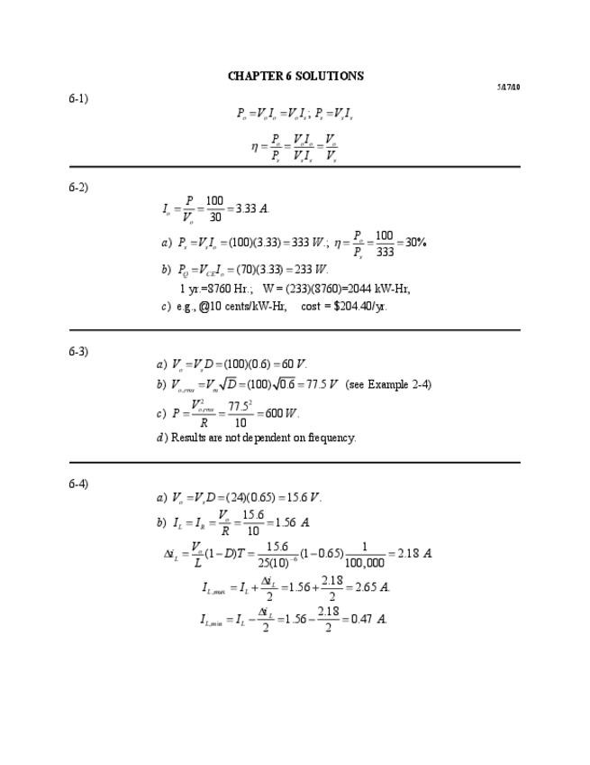
Apuntes - Soluciones Tema 6.pdf
27 páginas
105
Exámenes - Primer Parcial 2013.pdf
1 página
90
Exámenes - EP1Parcial20191.pdf
154