Portada
Asignatura
Grado en Ingeniería en Electrónica y Automática Industrial (UMH)
Electrónica General
Fecha de subida
20 jun 2020
Categoría
examenes
Etiquetas
Ejercicios - Tema-2.pdf
pdf
12 páginas
46
0
Exámenes - Examenes-anteriores-20220224.zip
zip
32
Exámenes - TEST.pdf
6 páginas
Apuntes - Resumen.pdf
49
Exámenes - JUN16.pdf
2 páginas
38
Ejercicios - Tema-1.pdf
26 páginas
44
Exámenes - JUN14.pdf
4 páginas
43
Exámenes - JUN18.pdf
8 páginas
35
Ejercicios - Ejercicios-Tema-2.pdf
19 páginas
48
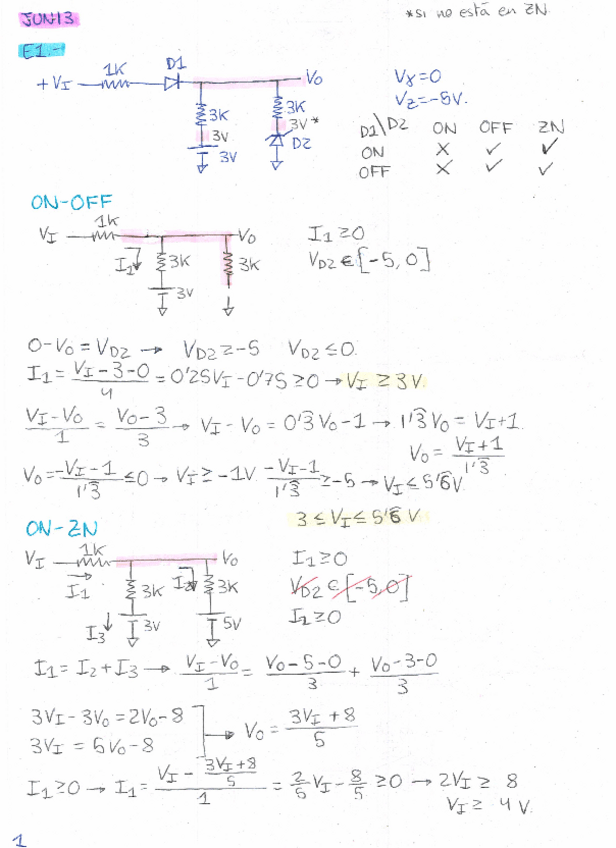
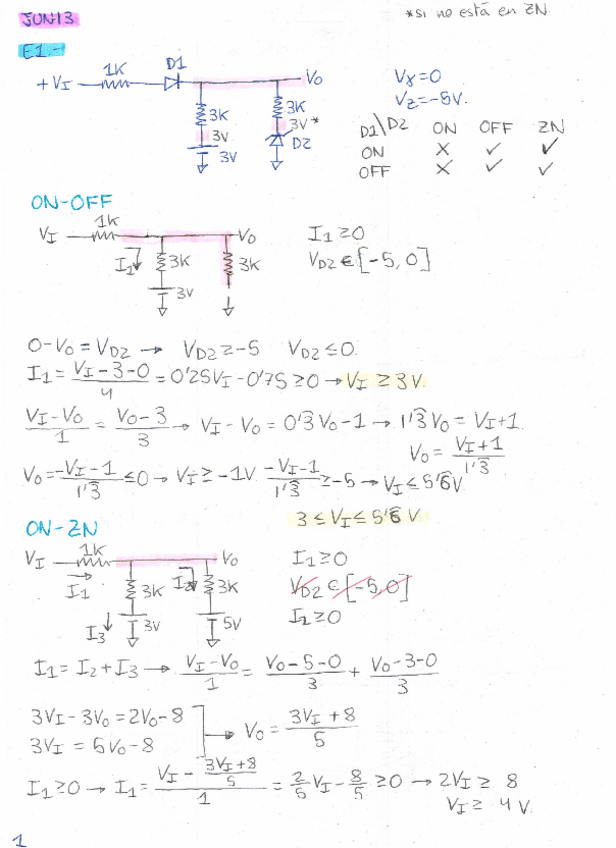
Exámenes - JUN13.pdf
33
Exámenes - JUN12.pdf
30
Exámenes - SEP18.pdf
3 páginas
39
Exámenes - JUN17.pdf
Exámenes - test-EG.pdf
25
Exámenes - JUN15.pdf
5 páginas
31
Apuntes - Tema-1-Circuitos-Con-Diodos.pdf
24
Ejercicios - Tema-3.pdf
36
Apuntes - Tema-3-Transistores-BJT.pdf
27 páginas
20
Apuntes - Tema-4-Transistores-de-Efecto-De-Campo.pdf
Apuntes - Cuestiones-examen.pdf
27