Portada
Asignatura
Grado en Ingeniería en Tecnologías Industriales (UPM)
Electrotecnia
Fecha de subida
27 nov 2020
Categoría
apuntes
Etiquetas
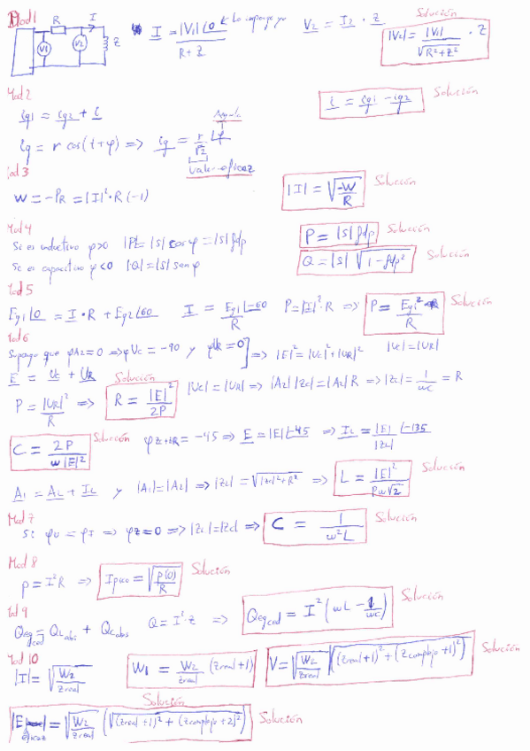
Apuntes - Respuestas Aulaweb 5 desarrolladas
pdf
16 páginas
1606
2
Apuntes - Respuestas Aulaweb 3 desarrolladas
1565
5
Apuntes - Respuestas Aulaweb 4 desarrolladas
12 páginas
1440
4
Apuntes - Respuestas Aulaweb 2 desarrolladas
19 páginas
1495
10
Apuntes - AULAWEB 6 TRIFASICA
10 páginas
995
1
Apuntes - Respuestas Aulaweb 1 desarrolladas
21 páginas
1062
Apuntes - Apuntes Formulario Electrotecnia 21-22
7 páginas
755
8
Exámenes - ultimos-anos-hasta-2012-pecs-electrotecnia.pdf
698
Apuntes - Examenes-enero-y-julio-desarrollados.pdf
28 páginas
828
Ejercicios - Electrotecnia - CorrienteContinua (T1-6)
25 páginas
1055
Apuntes - AULAWEB-6-CORREGIDO.pdf
2 páginas
858
0
Apuntes - Apuntes electrotecnia.pdf
203 páginas
250
Apuntes - AulawebsElectrotecnia.pdf
631
Apuntes - PECS-Electrotecnia.pdf
18 páginas
488
Exámenes - Recopilacion-aulaweb-5-trifasica.pdf
11 páginas
599
Trabajos - Mi-autoevaluacion-6-con-procedimiento-aulaweb.pdf
518
Ejercicios - Aulaweb-6-trifasica-con-desarrollos.pdf
4 páginas
461
3
Apuntes - aulaweb-5.pdf
462
Ejercicios - Electrotecnia - Aulawebs
543
Apuntes - Formulario-completo-electrotecnia.pdf
248
12