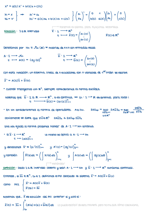
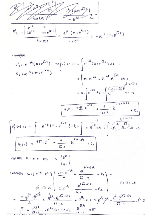
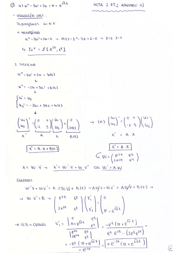
Elementos de Ecuaciones Diferenciales Ordinarias

chevron_left
chevron_right
Todo
Apuntes
Ejercicios
Exámenes
Otros
Prácticas
Trabajos
chevron_left
chevron_right

apuntes

-

(EDO) Apuntes de clase 2025-26

El tema 4 no será subido por causas de fuerza mayor. Se subirá el correspondiente resumen donde aparecen todos los conceptos. Disculpen las molestias.

Tema-1.-Introduccion.-Ejemplos..pdf
Capitulo-2.-Sistemas-EDO-Homogeneos-con-Coeficientes-Constantes.pdf
Tema-3.-Resultados-generales-de-existencia-y-unicidad-de-soluciones.pdf
Tema-5.-Teoria-general-de-sistemas-lineales.pdf
Tema-6.-La-transforma-de-Laplace.pdf

apuntes

-

(EDO) Resúmenes 2025-26

Resúmenes con el contenido importante para la realización de ejercicios y la posterior preparación del examen.

Capitulos-1-y-2.-Introduccion--SIstemas-de-EDOs-lineales-homogeneas-con-coeficientes-constantes.pdf
Capitulo-3.-Resultados-generales-de-existencia-y-unicidad-de-soluciones.pdf
Capitulo-4.-Metodos-de-resolucion-de-algunas-ecuaciones-escalares.pdf
Capitulo-5.-Teoria-general-de-sistemas-lineales.pdf

ejercicios

-

(EDO) Hojas de ejercicios 2025/26

He publicado nuevos ejercicios de 2º Elementos de Ecuaciones Diferenciales Ordinarias: (EDO) Hojas de ejercicios 2025/26

Hoja-1.pdf
Hoja-5.pdf

He publicado nuevos apuntes de 2º Elementos de Ecuaciones Diferenciales Ordinarias: 2-Ecuaciones-lineales-de-orden-N-julian.pdf

5 páginas

He publicado nuevos apuntes de 2º Elementos de Ecuaciones Diferenciales Ordinarias: 1-Sistemas-lineales-julian.pdf

20 páginas

resumen del primer tema de ecuaciones diferenciales con ecuaciones lineales, homogeneas, no homogeneas, exactas, cambios de variable, factores integrantes...

22 páginas

apuntes

-

Teoría y ejercicios Roman Smirnov

He publicado nuevos apuntes de 2º Elementos de Ecuaciones Diferenciales Ordinarias: Teoría y ejercicios Roman Smirnov

Tema-1-EDOS.pdf

Ejercicios Hoja 1 de Ecuaciones Diferenciales resueltos.

18 páginas

He publicado nuevos examenes de 2º Elementos de Ecuaciones Diferenciales Ordinarias: Examen-Extraordinario-2024.pdf

1 página

He publicado nuevos examenes de 2º Elementos de Ecuaciones Diferenciales Ordinarias: Examen-Final-2024.pdf

1 página

He publicado nuevos examenes de 2º Elementos de Ecuaciones Diferenciales Ordinarias: Examen-Parcial-2024.pdf

1 página

He publicado nuevos examenes de 2º Elementos de Ecuaciones Diferenciales Ordinarias: Examen-Parcial-2025.pdf.pdf

1 página

He publicado nuevos examenes de 2º Elementos de Ecuaciones Diferenciales Ordinarias: Examen-Mayo-2025.pdf.pdf

1 página

He publicado nuevos examenes de 2º Elementos de Ecuaciones Diferenciales Ordinarias: Examen-Junio-2025.pdf.pdf

1 página

ejercicios

-

Enunciados hojas ejercicios

He publicado nuevos ejercicios de 2º Elementos de Ecuaciones Diferenciales Ordinarias: Enunciados hojas ejercicios

Hoja1f32600a4bfeef9012c72a357be3bb48f.pdf
Hoja34577f580209599b20c40a957d31305f4.pdf
Hoja2a1305549c5abb0d70fd2cd4b22d79773.pdf

He publicado nuevos apuntes de 2º Elementos de Ecuaciones Diferenciales Ordinarias: Resumen-EDOs.pdf

1 página

apuntes

-

APUNTES EDIF JUAN CARLOS FELIPE

He publicado nuevos apuntes de 2º Elementos de Ecuaciones Diferenciales Ordinarias: APUNTES EDIF JUAN CARLOS FELIPE

TEMA-6-EDIF-PARTE-III.pdf

He publicado nuevos apuntes de 2º Elementos de Ecuaciones Diferenciales Ordinarias: ResumenLaplace.pdf.pdf

1 página

He publicado nuevos ejercicios de 2º Elementos de Ecuaciones Diferenciales Ordinarias: Ejercicios-yo-examen.pdf

19 páginas

He publicado nuevos apuntes de 2º Elementos de Ecuaciones Diferenciales Ordinarias: resumen-t1.pdf

4 páginas

examenes

-

exámenes palazuelos resueltos

He publicado nuevos examenes de 2º Elementos de Ecuaciones Diferenciales Ordinarias: exámenes palazuelos resueltos

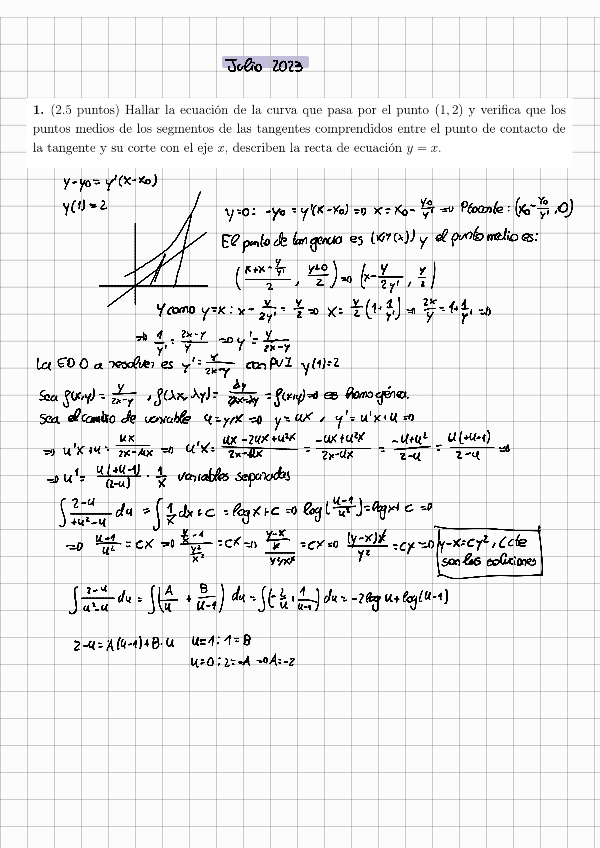
Julio-23-EDO.pdf
edo-mayo-25.pdf

examenes

-

Exámenes resueltos Palazuelos

He publicado nuevos examenes de 2º Elementos de Ecuaciones Diferenciales Ordinarias: Exámenes resueltos Palazuelos

Mayo 2023.pdf
Julio 2023.pdf
Mayo 2022.pdf
Mayo 2025.pdf

ejercicios

-

Hojas de ejercicios resueltas Palazuelos

He publicado nuevos ejercicios de 2º Elementos de Ecuaciones Diferenciales Ordinarias: Hojas de ejercicios resueltas Palazuelos

Hoja 1.pdf
Hoja 2.pdf
Hoja 3.pdf
Hoja 4.pdf
Hoja 5.pdf
Hoja 6.pdf

apuntes

-

Esquemas

He publicado nuevos apuntes de 2º Elementos de Ecuaciones Diferenciales Ordinarias: Esquemas

Esquema Introducción.pdf
Esquema Integración elemental.pdf
Esquema Sistemas de ecuaciones diferenciales lineales.pdf
Esquema Matrices fundamentales y sistemas de coeficientes constantes.pdf
Esquema Teoría cualitativa y sistemas planos.pdf
Esquema Transformada de Laplace.pdf

ejercicios

-

Ejercicios resueltos

He publicado nuevos ejercicios de 2º Elementos de Ecuaciones Diferenciales Ordinarias: Ejercicios resueltos

Ejercicicios-EDOS.pdf
Ejercicio-24-1-2025.pdf
Primer-Test.pdf

apuntes

-

Planos de fase y puntos de equilibrio

He publicado nuevos apuntes de 2º Elementos de Ecuaciones Diferenciales Ordinarias: Planos de fase y puntos de equilibrio

Clasificacion-de-los-planos-de-fase-y-los-puntos-de-equilibrio.pdf

examenes

-

Exámenes resueltos José Carrillo

He publicado nuevos examenes de 2º Elementos de Ecuaciones Diferenciales Ordinarias: Exámenes resueltos José Carrillo

Examen-EDOS-ordinaria-2023-Carrillo.pdf
Examen-EDOS-ordinaria-2024-Carrillo.pdf
Examen-EDOS-extraordinaria-2024-Carrillo.pdf

apuntes

-

Apuntes Edos

He publicado nuevos apuntes de 2º Elementos de Ecuaciones Diferenciales Ordinarias: Apuntes Edos

Tema-2-Sistemas-lineales-de-primer-orden.pdf
Tema-3Ecuaciones-y-sistemas-de-orden-arbitrario.pdf
Tema-4-Sistemas-lineales-de-primer-orden-con-coeficientes-constantes.pdf
Tema-1La-ecuacion-lineal-de-primer-orden.pdf
Tema-8Sistemas-planos-autonomos.pdf
Tema-5Resolucion-de-ecuaciones-lineales-por-serie-de-potencias.pdf

ejercicios

-

Hojas de ejercicios resueltas

He publicado nuevos ejercicios de 2º Elementos de Ecuaciones Diferenciales Ordinarias: Hojas de ejercicios resueltas

Hoja-1.pdf
Hoja-3.pdf
Hoja-2.pdf

examenes

-

Exámenes resueltos EDOS Eduardo

He publicado nuevos examenes de 2º Elementos de Ecuaciones Diferenciales Ordinarias: Exámenes resueltos EDOS Eduardo

Extraordinario-28-06-24ae045e41e7df06366dd8383188b84bbf-resuelto.pdf
Final-29-05-243c41308805779e2660d9e16a48f4ce9b-resuelto.pdf
Parcial-20-03-246dd349ae485e0a5567640c15456e707b-resuelto.pdf
Parcial 31-03-25 resuelto.pdf

examenes

-

EDO - Palazuelos - Exámenes

He publicado nuevos examenes de 2º Elementos de Ecuaciones Diferenciales Ordinarias: EDO - Palazuelos - Exámenes

EDO-Palazuelos-Julio-2021.pdf
EDO-Palazuelos-Junio-2021.pdf
EDO-Palazuelos-Mayo-2022.pdf
EDO-Palazuelos-Junio-2022.pdf
EDO-Palazuelos-Julio-2022.pdf
EDO-Palazuelos-Mayo-2023.pdf
Anónimo

@Anónimo

Algunos ejercicios resueltos de los apuntes de Javier Gómez.

8 páginas
Anónimo

@Anónimo

Resumen de los diagramas de fases (sistemas planos)

Miniatura no disponible
4 páginas

Carlos Palazuelos - M2

2 páginas

examenes

-

Exámenes Carrillo Resueltos

He publicado nuevos examenes de 2º Elementos de Ecuaciones Diferenciales Ordinarias: Exámenes Carrillo Resueltos

Examen-Extraordinaria-2024-Resuelto-Carrillo.pdf
Examen-Ordinaria-2024-Resuelto-Carrillo.pdf
Examen-Extraordinaria-2023-Resuelto-Carrillo.pdf
Examen-Ordinaria-2023-Resuelto-Carrillo.pdf

He publicado nuevos examenes de 2º Elementos de Ecuaciones Diferenciales Ordinarias: Examen-Carrillo-Extraordinaria-2023.pdf

6 páginas

He publicado nuevos examenes de 2º Elementos de Ecuaciones Diferenciales Ordinarias: Examen-Extraordinaria-2024-Carrillo.pdf

5 páginas
Anónimo

@Anónimo

Resolución del cuarto examen adjunto en el CV. NO VERIFICADA.

Miniatura no disponible
5 páginas
Anónimo

@Anónimo

Resolución del tercer examen adjunto en el CV. NO VERIFICADA.

Miniatura no disponible
6 páginas
Anónimo

@Anónimo

Resolución del segundo examen adjunto en el CV. NO VERIFICADA.

Miniatura no disponible
6 páginas
Anónimo

@Anónimo

Resolución del primer examen adjunto en el CV. NO VERIFICADA.

Miniatura no disponible
6 páginas

Tema 6. Carlos Palazuelos - M2

7 páginas

He publicado nuevos apuntes de 2º Elementos de Ecuaciones Diferenciales Ordinarias: T6-EDO-Transformada-Laplace.pdf

4 páginas

He publicado nuevos apuntes de 2º Elementos de Ecuaciones Diferenciales Ordinarias: t5-Teoria-cualitativa-EDOs.pdf

4 páginas

ejercicios

-

EDO - Ejercicios Carrillo

He publicado nuevos ejercicios de 2º Elementos de Ecuaciones Diferenciales Ordinarias: EDO - Ejercicios Carrillo

EDO-Carrillo-1.pdf
EDO-Carrillo-2.pdf
EDO-Carrillo-4.pdf
EDO-Carrillo-6.pdf

ejercicios

-

EDO - Ejercicios Palazuelos

He publicado nuevos ejercicios de 2º Elementos de Ecuaciones Diferenciales Ordinarias: EDO - Ejercicios Palazuelos

EDO-Palazuelos-3.pdf
EDO-Palazuelos-2.pdf
EDO-Palazuelos-6.pdf
EDO-Palazuelos-4.pdf

Tema 5. Carlos Palazuelos - M2

9 páginas

Tema 4. Carlos Palazuelos - M2

18 páginas

He publicado nuevos apuntes de 2º Elementos de Ecuaciones Diferenciales Ordinarias: Resumen-temas-1-4.pdf

6 páginas
Anónimo

@Anónimo

ejercicios

-

HOJAS EDOS

He publicado nuevos ejercicios de 2º Elementos de Ecuaciones Diferenciales Ordinarias: HOJAS EDOS

HOJA-6.pdf
HOJA-5.pdf
HOJA-4.pdf
HOJA-3.pdf
HOJA-2.pdf
HOJA-1.pdf

He publicado nuevos apuntes de 2º Elementos de Ecuaciones Diferenciales Ordinarias: t4-EDOS-matrices-fund-sistema-lineal-homog.pdf

9 páginas

apuntes

-

Apuntes EDOS

He publicado nuevos apuntes de 2º Elementos de Ecuaciones Diferenciales Ordinarias: Apuntes EDOS

Tema-1-Introduccion-y-motivacion.pdf
Tema-2--integracion-elemental.pdf
Tema-3.pdf

He publicado nuevos apuntes de 2º Elementos de Ecuaciones Diferenciales Ordinarias: Tema 3. Sistemas de EDOS lineales de primer orden.pdf

8 páginas

He publicado nuevos apuntes de 2º Elementos de Ecuaciones Diferenciales Ordinarias: sist-edos-lineales-de-1er-orden.pdf

2 páginas

He publicado nuevos apuntes de 2º Elementos de Ecuaciones Diferenciales Ordinarias: EDOS-integracion-elemental.pdf

4 páginas

He publicado nuevos apuntes de 2º Elementos de Ecuaciones Diferenciales Ordinarias: ed-motivaciontema1.pdf

4 páginas

He publicado nuevos apuntes de 2º Elementos de Ecuaciones Diferenciales Ordinarias: Tema 2. Integración elemental.pdf

9 páginas

He publicado nuevos apuntes de 2º Elementos de Ecuaciones Diferenciales Ordinarias: Tema 1. Motivación.pdf

5 páginas

He publicado nuevos examenes de 2º Elementos de Ecuaciones Diferenciales Ordinarias: Final-2024.jpeg

Imagen

He publicado nuevos ejercicios de 2º Elementos de Ecuaciones Diferenciales Ordinarias: Hoja-2-EDOS.pdf

7 páginas