Portada
Asignatura
Doble Grado en Ingeniería en Diseño Industrial y Desarrollo del Producto e Ingeniería Mecánica (US)
Elementos Finitos en Ingeniería de Estructuras
Fecha de subida
22 nov 2019
Categoría
apuntes
Etiquetas
Apuntes - LIBRO EL METODO DE LOS ELEMENTOS FINITOS.pdf
pdf
507 páginas
32
0
Apuntes - PREGUNTAS DE EXAMEN.pdf
11 páginas
39
Apuntes - Tema-1.pdf
4 páginas
9
Apuntes - Examenes-Resueltos.pdf
37 páginas
11
Apuntes - Tema-2.pdf
9 páginas
5
Apuntes - Tema4.pdf
7 páginas
2
Apuntes - Tema-16.pdf
1 página
Apuntes - explicacion-del-PTV-posible-pregunta-examen.pdf
1
Apuntes - Tema-7.pdf
6 páginas
Apuntes - Tema-19.pdf
Apuntes - Tema-5.pdf
5 páginas
Apuntes - Tema-18.pdf
2 páginas
Apuntes - Tema-17.pdf
Apuntes - Tema-12.pdf
3 páginas
Apuntes - tma-15.pdf
Apuntes - CLASE-1-Y-2-ANSYS.pdf
18 páginas
Apuntes - Tema-11.pdf
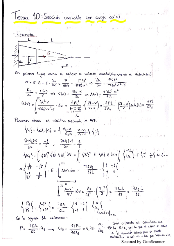
Apuntes - Tema-10.pdf
Apuntes - Tema-9.pdf
Apuntes - Tema-8.pdf