Portada
Asignatura
Comte de Rius - Laboratorio de Análisis y de Control de Calidad
Ensayos microbiológicos
Fecha de subida
28 sep 2022
Categoría
practicas
Etiquetas
Apuntes - UF1-Material-.pdf
pdf
3 páginas
15
0
Apuntes - UF1-Introduccio-a-la-microbiologia.pdf
4 páginas
13
1
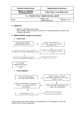
Prácticas - Tincio-simple-i-negativa.pdf
8
Prácticas - Proves-IMViC.pdf
5 páginas
3
Apuntes - UF1-Esterilitzacio-i-tincions-i-medis-de-cultiu.pdf
10
Prácticas - Enterococs.pdf
2
Prácticas - Catalasa-i-oxidasa.pdf
5
Prácticas - Medi-O-F.pdf
Prácticas - Coliformes.pdf
1 página