chevron_left
chevron_right
Todo
Apuntes
Exámenes
chevron_left
chevron_right

Repaso completo para el examen por temas

13 páginas

He publicado nuevos apuntes de 2º Estadística Aplicada a las Ciencias Sociales II: Estadistica-II.pdf

8 páginas

He publicado nuevos apuntes de 2º Estadística Aplicada a las Ciencias Sociales II: Estadistica-II-1.pdf

21 páginas

He publicado nuevos apuntes de 2º Estadística Aplicada a las Ciencias Sociales II: STATISTICS-II.pdf

13 páginas

apuntes

-

Magistrales

He publicado nuevos apuntes de 2º Estadística Aplicada a las Ciencias Sociales II: Magistrales

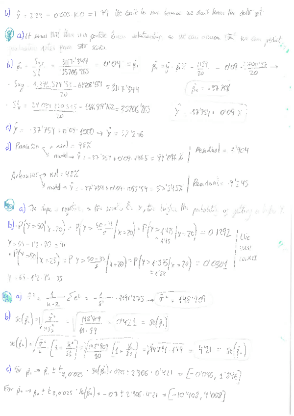
Linear Regression Topic 1.1

apuntes

-

Seminars

He publicado nuevos apuntes de 2º Estadística Aplicada a las Ciencias Sociales II: Seminars

Seminar 1: Introduction + Exercises

He publicado nuevos apuntes de 2º Estadística Aplicada a las Ciencias Sociales II: Estadistica-II.pdf

16 páginas

examenes

-

Examenes

He publicado nuevos examenes de 2º Estadística Aplicada a las Ciencias Sociales II: Examenes

EF15jun.pdf
EF15juneng.pdf
EF16ene.pdf
EF14ene.pdf
EF16juneng.pdf
EF16jun.pdf

apuntes

-

Apuntes

He publicado nuevos apuntes de 2º Estadística Aplicada a las Ciencias Sociales II: Apuntes

ejct3espS.pdf
ejct4espS.pdf
TOPIC-2-HYPOTHESIS-IN-ONE-POPULATION.pdf
ejct2espS.pdf
Soluciones-Tema1.pdf
TOPIC-4-LINEAR-REGRESSION.pdf
¡Estás al día!

¡Estás al día!

Has visto todos los archivos