Portada
Asignatura
Grado en Turismo (UGR)
Estadística Aplicada Al Sector Turístico
Fecha de subida
10 ago 2017
Categoría
apuntes
Información
Estudiar para examen
Etiquetas
Exámenes - ilovepdf_jpg_to_pdf.pdf
pdf
5 páginas
282
0
Exámenes - examen estadística convocatoria de julio 2018.pdf
3 páginas
285
Exámenes - examen-east-febrero.pdf
2 páginas
135
3
Apuntes - Apuntes.pdf
7 páginas
218
Exámenes - examen-east-ordinaria-2324.pdf
111
2
Apuntes - Examen-Parcial-1-RESUELTO.pdf
184
5
4 páginas
206
1
Apuntes - Problemas-T4-RESUELTO.pdf
9 páginas
188
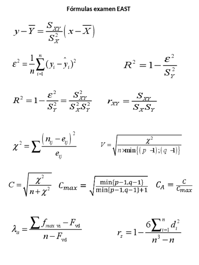
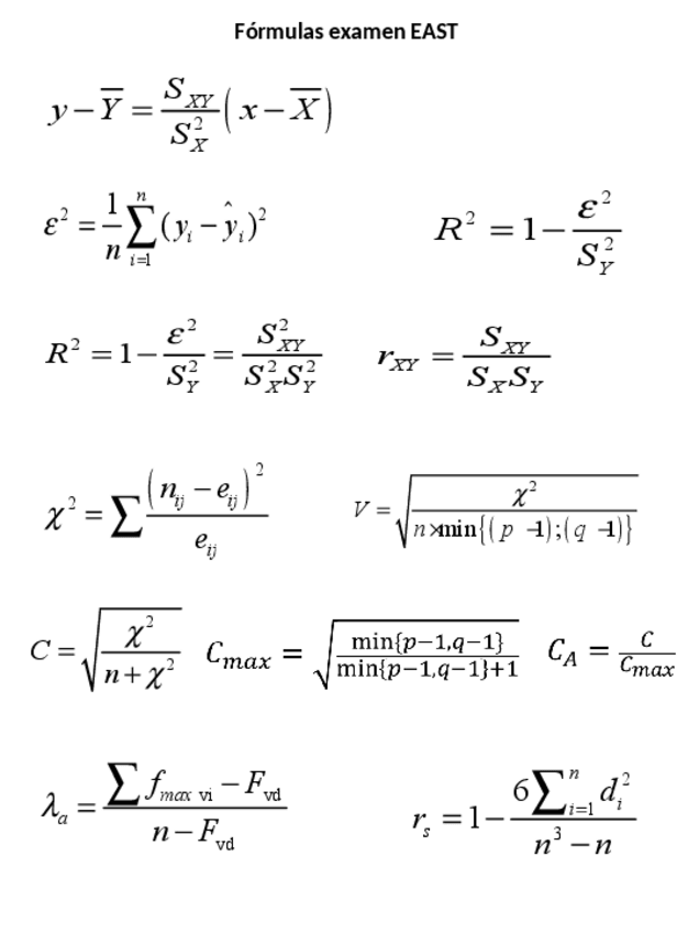
Apuntes - EAST-FORMULAS.docx
docx
37
Exámenes - examen-east-2023.pdf
1 página
120
Apuntes - RESOLUCION-EJERCICIOS-TEMA-4.pdf
6 páginas
108
Apuntes - RELACION-DE-PROBLEMAS-TEMA-4.pdf
164
Apuntes - TEMA-3-ESTADISTICA.docx
Apuntes - Apuntes-3.pdf
129
Apuntes - Formulas estadistica.pdf
80
Apuntes - TEMA-1-ESTADISTICA.docx
Ejercicios - R_Variable unidimensional 2016.pdf
71
Apuntes - RELACION-DE-PROBLEMAS-TEMA-5.pdf
102
Apuntes - FORMULAS.docx
Apuntes - Tema-4-Regresiones-paso-a-paso.pdf
124
Información
Estudiar para examen