valmelogar
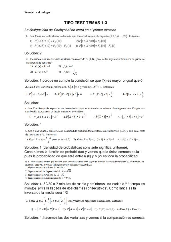
TIPO TEST RESUELTOS
TIPO-TEST-TEMAS-1-3-RESUELTOS-PRIMERA-PARTE.pdf
4 páginas
tipo-test-temas-1-3-segunda-parte.pdf
8 páginas
TIPO-TEST-TEMA-4.pdf
5 páginas
TIPO-TEST-SEGUNDO-BLOQUE-CON-SOLUCIONES.pdf
PREGUNTAS-TIPO-TEST-MODELOS.pdf
6 páginas
PREGUNTAS-TIPO-TEST-TEMA-4-VECTOR-ALEATORIO.pdf
Prácticas - Documento Scannable el 7-9-2017 20_00_16.pdf
pdf
16 páginas
89
0
Exámenes - EXAMENES-ESTADISTICA-AVANZADA-EMILIO.pdf
37 páginas
24
Exámenes - Solucion examen final junio.pdf
2
Exámenes - ESTADISTICA-AVANZADA-PDFsamEXAMENES.pdf
34 páginas
18
Apuntes - TEMA 1 YO.pdf
3 páginas
55
Exámenes - exámenes resueltos estadistica avanzada.pdf
Prácticas - Problemas _TeoriaBasicaProbabilidad.pdf
57
Exámenes - Examen 1.pdf
33
1
Apuntes - TEMA 2 YO.pdf
46
Exámenes - EXAMEN-PRIMER-PARCIAL-TEMAS-1-3.pdf
48
Apuntes - Tema-1.pdf
12 páginas
51
Apuntes - TEMA1.pdf
33 páginas
40
Apuntes - Tema-2.pdf
9 páginas
27
Apuntes - TEMA 4 YO.pdf
Exámenes - Examen 2.pdf
Exámenes - EXAMEN Resuelto.pdf
16
Apuntes - TEMA 5 YO.pdf
2 páginas
29
Test - TIPO-TEST-TEMAS-1-3-RESUELTOS-PRIMERA-PARTE.pdf
Ejercicios - PROBLEMAS-PRIMERA-PARTE-HOJA-No1-HECHOS-EN-CLASE.pdf
7 páginas
Exámenes - Examen 3.pdf
25