chevron_left
chevron_right
Todo
Apuntes
Ejercicios
chevron_left
chevron_right

apuntes

-

Apuntes estadística II

He publicado nuevos apuntes de 2º Estadística Empresarial y Financiera: Apuntes estadística II

TEMA-3-ESTADISTICA.pdf
TEMA-3-ESTADISTICA.pdf
estadistica-5.pdf
estadistica-5.pdf
TEMA-2-ESTADISTICA.pdf
TEMA-2-ESTADISTICA.pdf
Anónimo

@Anónimo

apuntes

-

apuntes y formulas estadística

He publicado nuevos apuntes de 2º Estadística Empresarial y Financiera: apuntes y formulas estadística

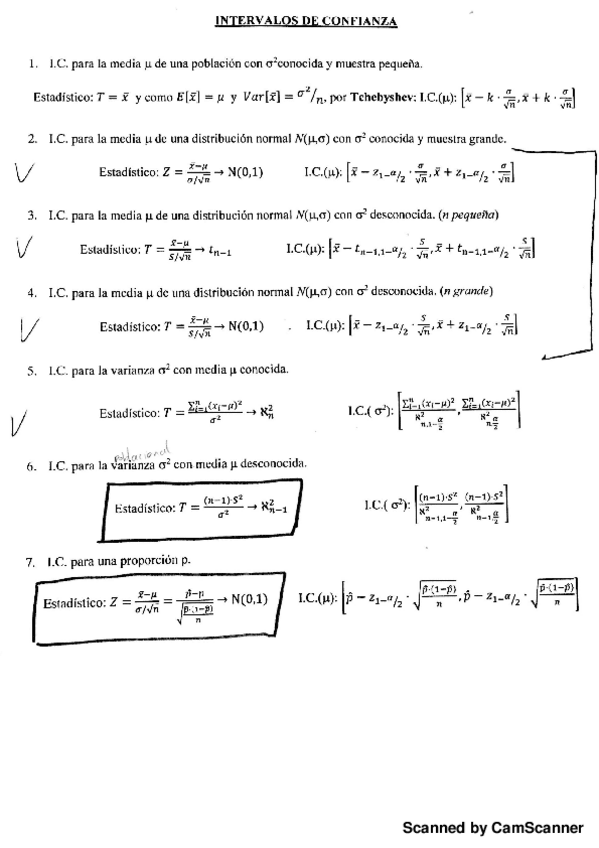
Resumen-intervalos-de-confianza.pdf
Resumen-intervalos-de-confianza.pdf
distribuciones-discretas.pdf
distribuciones-discretas.pdf
Resumen-de-analisis-descriptivo.pdf
Resumen-de-analisis-descriptivo.pdf
Anónimo

@Anónimo

He publicado nuevos ejercicios de 2º Estadística Empresarial y Financiera: EJER-Analisis-descriptivo-RESUELTOS.pdf

3 páginas
Anónimo

@Anónimo

ejercicios

-

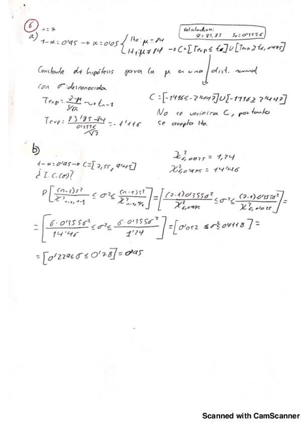
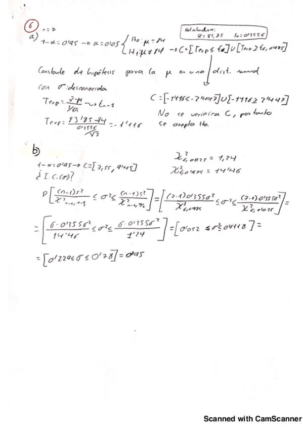
ejer inferencia estadística resueltos

He publicado nuevos ejercicios de 2º Estadística Empresarial y Financiera: ejer inferencia estadística resueltos

EJER-INFERENCIA-ESTADISTICA-E6.pdf
EJER-INFERENCIA-ESTADISTICA-E6.pdf
EJER-INFERENCIA-ESTADISTICA-E4.pdf
EJER-INFERENCIA-ESTADISTICA-E4.pdf
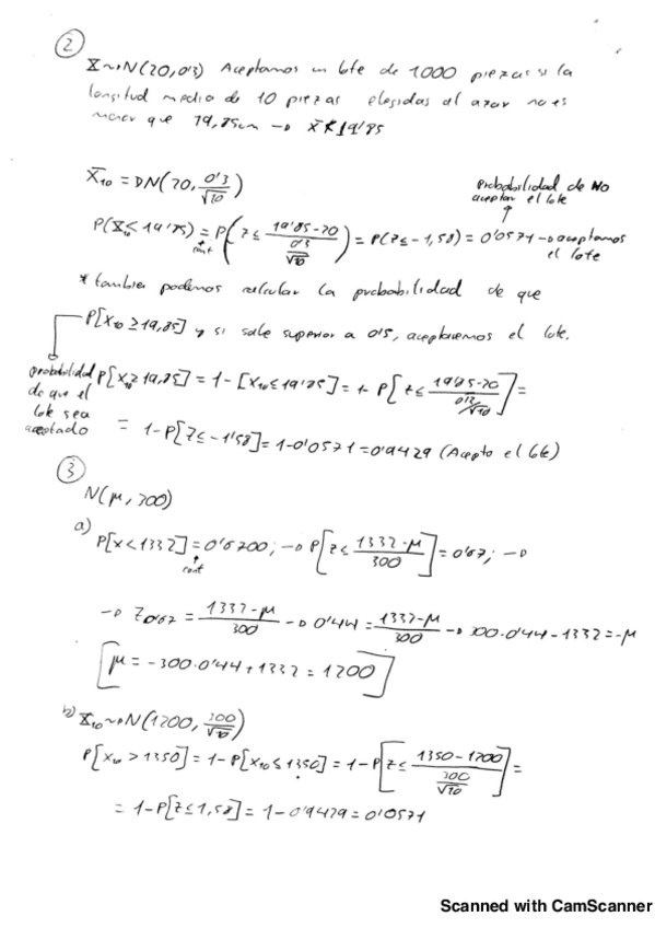
EJER-INFERENCIA-ESTADISTICA-E2-y-E3.pdf
EJER-INFERENCIA-ESTADISTICA-E2-y-E3.pdf
¡Estás al día!

¡Estás al día!

Has visto todos los archivos