CarlaGutierrezQ
Examen 2
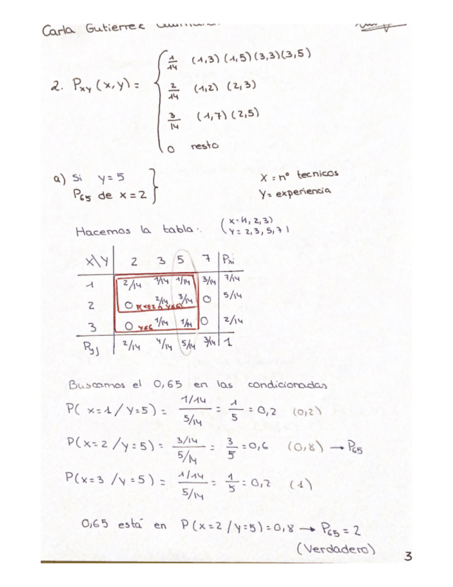
El segundo examen tiene 3 preguntas de justificar verdadero o falso. Nota examen 9.
Examen-2ejercicio-1.pdf
1 página
Examen-2ejercicio-2.pdf
3 páginas
Examen-3ejercicio-3.pdf
Apuntes - Modulo-II.pdf
pdf
80 páginas
43
3
Apuntes - Estadistica-.pdf
17 páginas
19
0
Exámenes - RESOLUCION-EJERCICIO-1-DE-REPASO-DE-ESTADISTICA-DESCRIPTIVA.pdf
5 páginas
32
1
Apuntes - Examen-1ejercicio-4.pdf
4 páginas
20
Apuntes - Examen-1ejercicio-1.pdf
2 páginas
28
Apuntes - ModuloI.tema3.pdf
16
2
Ejercicios - EJERCICIO-3-de-repaso-modulo-I-1.pdf
14 páginas
25
Exámenes - Examen-3ejercicio-3.pdf
Exámenes - Examen-2ejercicio-1.pdf
24
Apuntes - Examen-1ejercicio-2.pdf
17
Apuntes - 2-VARIABLE-ESTADISTICA-UNIDIMENSIONAL.pdf
Exámenes - Examen-2ejercicio-2.pdf
Apuntes - FORMULARIO-Estadistica.pdf
8 páginas
Apuntes - Examen-1ejercicio-3.pdf
15
Apuntes - Ejercicios-Tema-9.pdf
8
Apuntes - Ejercicios-Tema-8.pdf
9
Apuntes - ModuloI.tema2.pdf
10 páginas
Apuntes - ModuloI.tema5.pdf
15 páginas
10
Apuntes - 1-INTRODUCCION-ESTADISTICA.pdf
Apuntes - Tema-1-PROBABILIDAD-CONCEPTOS-BASICOS-DE-TEORIA-DE-LA-PROBABILIDAD.pdf
7