chevron_left
chevron_right
Todo
Apuntes
Ejercicios
Exámenes
Otros
Prácticas
chevron_left
chevron_right

He publicado nuevos apuntes de 1º Estadística I: APUNTES-ESTADISTICA-TERMINADOS.pdf

44 páginas

apuntes

-

Apuntes Estadística I

He publicado nuevos apuntes de 1º Estadística I: Apuntes Estadística I

Tema-0.-Estadistica-y-Economia.pdf
Tema-1.-Regresion-y-Correlacion.pdf
Tema-2.-Numeros-Indices.pdf
Tema-3.-Series-Temporales.pdf
Tema-4.-Teoria-de-la-Probabilidad.-Aspectos-Generales.pdf
Tema-5.-Variable-Aleatoria-Unidimensional.pdf

He publicado nuevos examenes de 1º Estadística I: Examenes-Segundo-Parcial.pdf

47 páginas

He publicado nuevos practicas de 1º Estadística I: Entregas-Estadistica.pdf

52 páginas

He publicado nuevos examenes de 1º Estadística I: Examenes-Primer-Parcial.pdf

31 páginas

He publicado nuevos apuntes de 1º Estadística I: Hoja-4-resuelta.pdf

4 páginas

He publicado nuevos apuntes de 1º Estadística I: APUNTES-ESTADISTICA-T4-Y-T5.pdf

7 páginas

examenes

-

STATISTICS UC3M Economía Inglés

Exámenes de Estadística I de la UC3M Carrera de Economía en inglés / Bachelor's Degree in Economics

StatisticsI24June2014solucion.pdf
EstadisticaI17May2017engdefinitivocorregido.pdf
StatisticsI23June2015-Soluciones-4.pdf

ejercicios

-

STATISTICS UC3M Economía Inglés

Ejercicios de Estadística I de la UC3M Carrera de Economía en inglés / Bachelor's Degree in Economics

PS5Answers.pdf
AnswersPS1.pdf
AnswersPS2.pdf
AnswersPS3.pdf
Hoja2eng1819enunciados.pdf
I-Problem-Set-Statistics.pdf

apuntes

-

STATISTICS UC3M Economía Inglés

Apuntes de Estadística I de la UC3M Carrera de Economía en inglés / Bachelor's Degree in Economics

Statistics-Formulae.pdf
STATISTICS-FORMULAS-FROM-THE-THEORY.pdf
Vocabulary-statistics.pdf

apuntes

-

apuntes estadística I

He publicado nuevos apuntes de 1º Estadística I: apuntes estadística I

temas-1-y-2..pdf
temas-4-y-5.pdf
tema-6.pdf

He publicado nuevos otros de 1º Estadística I: GUIA-DOCENTE-Estadistica-I.pdf

2 páginas

He publicado nuevos apuntes de 1º Estadística I: tema-1-2-3-y-4-estadistica-I.pdf

7 páginas

He publicado nuevos apuntes de 1º Estadística I: tema-6-estadistica-I.pdf

2 páginas

He publicado nuevos apuntes de 1º Estadística I: tema-4-y-5-estadistica-I.pdf

4 páginas

He publicado nuevos examenes de 1º Estadística I: PRIMER-PARCIAL-ESTADISTICA-2023.pdf

2 páginas

He publicado nuevos examenes de 1º Estadística I: SEGUNDO-PARCIAL-ESTADISTICA-2023.pdf

1 página

He publicado nuevos examenes de 1º Estadística I: ESTADISTICA-MAYO-2023.pdf

2 páginas

He publicado nuevos apuntes de 1º Estadística I: Tema-4-Probabilidad-apuntes.pdf

3 páginas

He publicado nuevos apuntes de 1º Estadística I: Aplicacion-de-formulas-temas-2-y-3-y-diagrama-caja-y-bigotes.pdf

2 páginas

He publicado nuevos apuntes de 1º Estadística I: Tema-2-Analisis-de-datos-univariantes-apuntes.pdf

6 páginas

He publicado nuevos examenes de 1º Estadística I: solucion-examen-final-28-mayo-2009.pdf

5 páginas

He publicado nuevos apuntes de 1º Estadística I: Tema-3-Analisis-de-datos-bivariantes-apuntes.pdf

5 páginas

He publicado nuevos apuntes de 1º Estadística I: Tema-1-Introduccion-a-la-estadistica-apuntes.pdf

2 páginas

He publicado nuevos apuntes de 1º Estadística I: TEMA-3.pdf

2 páginas

He publicado nuevos apuntes de 1º Estadística I: TEMA-2.pdf

6 páginas

He publicado nuevos apuntes de 1º Estadística I: TEMA-1.pdf

1 página

He publicado nuevos apuntes de 1º Estadística I: EXAMEN-JUNIO-2017-RESUELTO.pdf

2 páginas

He publicado nuevos apuntes de 1º Estadística I: EXAMEN-MAYO-2016-RESUELTO.pdf

2 páginas

He publicado nuevos apuntes de 1º Estadística I: EXAMEN-MAYO-2017-RESUELTO.pdf

2 páginas

He publicado nuevos apuntes de 1º Estadística I: EXAMEN-MAYO-2019-RESUELTO.pdf

2 páginas

He publicado nuevos apuntes de 1º Estadística I: EXAMEN-JUNIO-2018-RESUELTO.pdf

2 páginas

He publicado nuevos ejercicios de 1º Estadística I: HOJA-6-SOLUCIONES.pdf

1 página

He publicado nuevos ejercicios de 1º Estadística I: HOJA-5-SOLUCIONES.pdf

5 páginas

He publicado nuevos ejercicios de 1º Estadística I: HOJA-4-SOLUCIONES.pdf

4 páginas

He publicado nuevos ejercicios de 1º Estadística I: HOJA-2-SOLUCIONES.pdf

8 páginas

He publicado nuevos ejercicios de 1º Estadística I: HOJA-3-SOLUCIONES.pdf

8 páginas

Ejercicios estadística I

16 páginas
Anónimo

@Anónimo

apuntes

-

Filo

He publicado nuevos apuntes de 1º Estadística I: Filo

Ortega-y-Gasset.pdf
Nietzsche.pdf

He publicado nuevos apuntes de 1º Estadística I: Apuntes-estadistica.pdf

35 páginas

He publicado nuevos apuntes de 1º Estadística I: Apuntes-estadistica.docx

word

apuntes

-

APUNTES RCOMMANDER

He publicado nuevos apuntes de 1º Estadística I: APUNTES RCOMMANDER

R-intro.pdf
R-APUNTES.pdf

ejercicios

-

ESTADÍSTICA EJERCICIOS SOLUCIONES

He publicado nuevos ejercicios de 1º Estadística I: ESTADÍSTICA EJERCICIOS SOLUCIONES

HOJA3Esp1920solucion.pdf
Hoja2sp1920respuestas.pdf
Hoja6spsoluciones1920.pdf
hoja4probabilidadsoluciones.pdf
Hoja5soluciones.pdf
Anónimo

@Anónimo

apuntes

-

Estadistica II

He publicado nuevos apuntes de 1º Estadística I: Estadistica II

SOLUCIONES-EJERCICIOS-TEMA-4.pdf
LABORATORIO-1-DE-ESTADISTICA-II.pdf
SOLUCIONES-EJERCICIOS-TEMA-3.pdf
SOLUCIONES-EJERICIOS-TEMA-2.pdf

examenes

-

Examenes

He publicado nuevos examenes de 1º Estadística I: Examenes

EF16jun.pdf
EF14jun.pdf
EF14ene.pdf
EF15juneng.pdf
EF15ene.pdf
EF15jun.pdf

apuntes

-

Apuntes

He publicado nuevos apuntes de 1º Estadística I: Apuntes

formularioEstadI20172018ingles.pdf
TOPIC-1.pdf
TOPIC-2.pdf
TOPIC-4.pdf
TOPIC-3.pdf
TOPIC-5.pdf

apuntes

-

Apuntes

He publicado nuevos apuntes de 1º Estadística I: Apuntes

TOPIC-3.pdf
TOPIC-1.pdf
TOPIC-2.pdf
TOPIC-5.pdf
Hoja2eng17184febrerorespuestas.pdf
formularioEstadI20172018ingles.pdf
Anónimo

@Anónimo

He publicado nuevos apuntes de 1º Estadística I: MAYO-17.pdf

2 páginas

apuntes

-

estadistica i

He publicado nuevos apuntes de 1º Estadística I: estadistica i

MAYO-2013.pdf
JUNIO-2017.pdf
MAYO-2017.pdf
MAYO-2016.pdf
JUNIO-2015.pdf
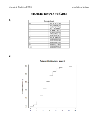
LAURA-CABRERA-GRUPO-63-LABORATORIO-2-ESTADISTICA.pdf

He publicado nuevos examenes de 1º Estadística I: EXAMEN-FINAL-RESUELTO.pdf

4 páginas

He publicado nuevos apuntes de 1º Estadística I: Apuntes-Estadistica-I.pdf

32 páginas

examenes

-

Exámenes parciales Statistics 1

He publicado nuevos examenes de 1º Estadística I: Exámenes parciales Statistics 1

Examen-parcial-1-Statics-1.docx
Examen-parcial-2-Statistics-1.docx
Examen-parcial-1-Statics-1.pdf
Examen-parcial-2-Statistics-1.pdf

He publicado nuevos apuntes de 1º Estadística I: TIPS-ESTADISTICA.pdf

3 páginas

He publicado nuevos apuntes de 1º Estadística I: ESTADISTICA-T1-3.pdf

16 páginas

apuntes

-

APUNTES ESTADÍSTICA

He publicado nuevos apuntes de 1º Estadística I: APUNTES ESTADÍSTICA

3.pdf
2.pdf
1.pdf
ESTADISTICA-T1-3.pdf
5.pdf
4.pdf

He publicado nuevos apuntes de 1º Estadística I: TEMA-4-Y-5.pdf

25 páginas

Apuntes de todos los temas que entran en el parcial

13 páginas
Anónimo

@Anónimo

He publicado nuevos apuntes de 1º Estadística I: Tema-2.pdf

84 páginas
Anónimo

@Anónimo

He publicado nuevos apuntes de 1º Estadística I: Tema1esp2021.pdf

18 páginas
Anónimo

@Anónimo

He publicado nuevos apuntes de 1º Estadística I: Tema3.pdf

45 páginas