LaTelequita
Exámenes Métodos resueltos paso a paso
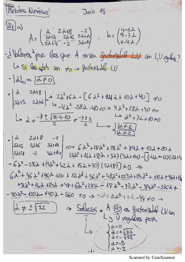
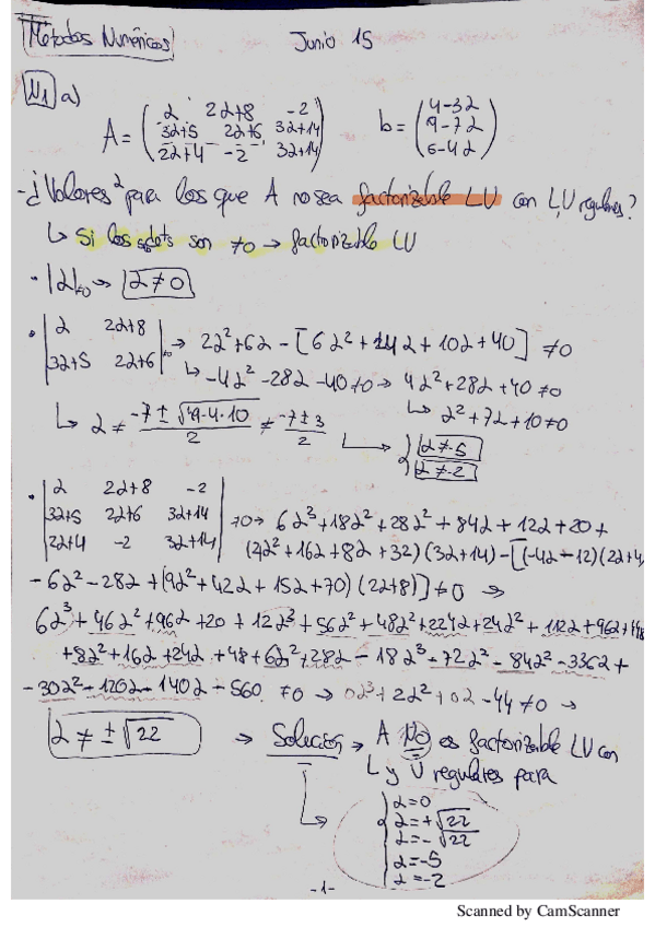
MN Junio15.pdf
4 páginas
MN Sept15.pdf
8 páginas
MN Sept 2017.pdf
6 páginas
MN Sept 2016.pdf
MN Junio 2018.pdf
MN Junio 2017.pdf
5 páginas
MN Junio 2016.pdf
Exámenes - ES Sept 2017.pdf
pdf
3 páginas
136
0
Exámenes - ES Junio 2017.pdf
2 páginas
78
Exámenes - ES Junio 2018.pdf
109
1
Exámenes - MN Junio15.pdf
104
Exámenes - ES Sept 2015.pdf
85
Exámenes - ES Junio 2014.pdf
74
Exámenes - MN Sept 2017.pdf
73
Exámenes - MN Junio 2018.pdf
65
Exámenes - MN Sept15.pdf
76
Exámenes - MN Sept 2016.pdf
61
Exámenes - MN Junio 2016.pdf
60
Exámenes - MN Junio 2017.pdf
58
Apuntes - Numerico.zip
zip
45
Apuntes - ESTADISTICARESUELTA.pdf
57 páginas
68
Ejercicios - Relacion-Soluciones-1A1B.pdf
17 páginas
86
Exámenes - Examen-B-Resuelto.pdf
16 páginas
Apuntes - Estadistica-1.pdf
62 páginas
50
3
Apuntes - Estadistica.zip
38
Exámenes - Examen-A-Resuelto.pdf
57
Exámenes - Examen-B.pdf
64