alrg24
Exámenes RESUELTOS MN
Examen-MN-Junio-2018-RESUELTO.pdf
N1-b-Examen-Junio-2018.pdf
N1-a-Examen-MN-Junio-2018.pdf
N2-a-b-JUNIO-2020.pdf
N3-JUNIO-2019-MN.pdf
N1-a-JUNIO-2020-MN.pdf
N2-JUNIO-2019-MN.pdf
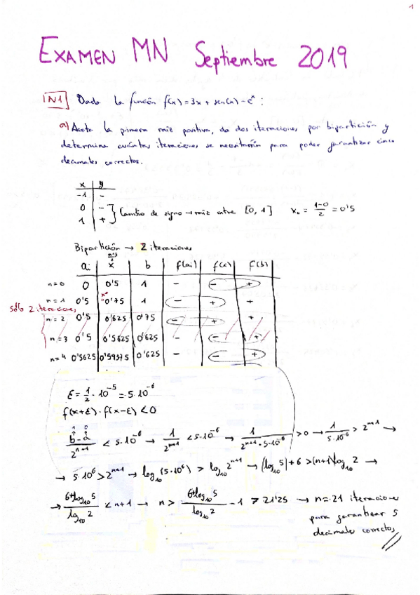
N1-a-Examen-Septiembre-2019.pdf
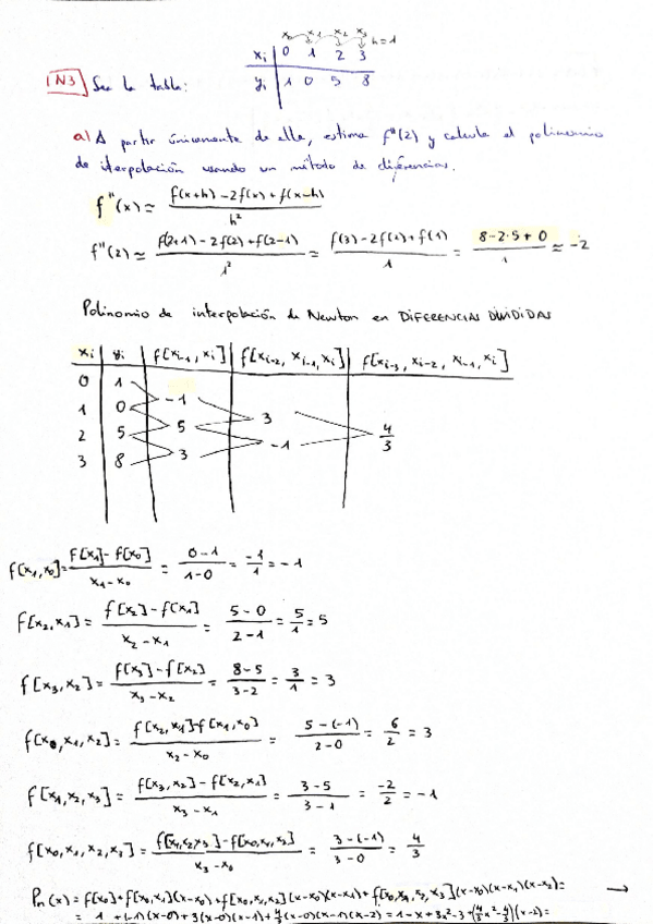
N3-a-Examen-MN-septiembre-2019.pdf
N1-a-JUNIO-2017-MN.pdf
N2-ab-Examen-MN-Septiembre-2019.pdf
Ejercicios - METODOSRESUELTO.pdf
pdf
110 páginas
3
Prácticas - Matlab.pdf
42 páginas
2542
2
Prácticas - Metodos.rar
rar
69
0
Ejercicios - ESTADISTICARESUELTA.pdf
57 páginas
6
Apuntes - Metodo.pdf
31 páginas
97
Exámenes - ExamenMetodos.zip
zip
46
Apuntes - COMANDOS MATLAB CLAVE PARA EXAMEN.zip
19
Apuntes - Estadistica-Y-Metodo-Numerico.pdf
45 páginas
55
Prácticas - Estadistica.rar
44
Apuntes - Estadistica-.pdf
30 páginas
68
4
Ejercicios - Matlab-Metodos-Estadistica.pdf
26 páginas
57
1
Exámenes - ExamenEstadistica.zip
36
Apuntes - apuntes-matlab.pdf
5 páginas
Exámenes - Examen-MN-Junio-2018-RESUELTO.pdf
0 páginas
Exámenes - Examen-A-Resuelto.pdf
4 páginas
50
Apuntes - Ej5_rel2_resuelto_matlab.pdf
42
Ejercicios - E1Jun22-Corregido.pdf
1 página
56
Apuntes - COMANDOS QUE HA DADO MAS RELEVANCIA EN CLASE.pdf
2 páginas
40
Ejercicios - Ejercicios clase estadística.pdf
Apuntes - FORMULARIO T1-A.pdf