Portada
Asignatura
Grado en Ingeniería de Sonido e Imagen (UPM)
Estadistica y Procesos Estocásticos
Fecha de subida
15 jun 2023
Categoría
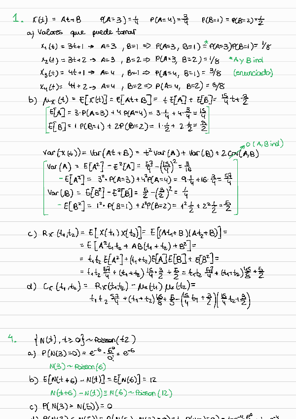
ejercicios
Etiquetas
Ejercicios - Problemas-Propuestos-Tema-1.pdf
pdf
9 páginas
81
0
Apuntes - TEMA5Procesos-Estocasticos.pdf
15 páginas
54
Apuntes - APUNTES-T1-y-T2.pdf
8 páginas
42
1
Exámenes - Examenes-resueltos.pdf
13 páginas
66
Apuntes - temas-1-3.pdf
35
Apuntes - TEMA-5-PROCESOS-ESTOCASTICOS220112140309.pdf
18 páginas
49
Apuntes - Tema1EST.pdf
37
Apuntes - Tema2EST.pdf
11 páginas
41
Apuntes - Tema3EST.pdf
14 páginas
44
Apuntes - SolucionExamenparcial122octubre2018.pdf
6 páginas
59
Exámenes - SolucionExamenparcial32018.pdf
7 páginas
51
Apuntes - 1erparcialB.pdf
1 página
73
Exámenes - SolucionExamenfinal2018.pdf
Exámenes - SolucionExamenExtraordinario2015.pdf
Apuntes - Tema4EST.pdf
30
Apuntes - 18-de-Marzo-de-2019-Parcial.pdf
5 páginas
58
Apuntes - TEMA3-Vectores-Aleatorios-.pdf
36
Exámenes - SolucionExamenExtraordinario2019.pdf
Apuntes - TEMA-2-VARIABLES-ALEATORIAS220108233219.pdf
Apuntes - TEMA-4-INTERFERENCIA-ESTADISTICA220112175636-1.pdf
12 páginas
60