Portada
Asignatura
Grado en Ingeniería Informática - Tecnologías Informáticas (US)
Estadística
Fecha de subida
02 dic 2015
Categoría
ejercicios
Información
Apuntes de Adam Cienfuegos
Etiquetas
Exámenes - 2º Parcial 2015 [Resuelto].pdf
pdf
6 páginas
379
1
Exámenes - 1º Parcial 2016 [Resuelto].pdf
291
0
Exámenes - Examen Convocatoria Junio 2016 [Resuelto].pdf
11 páginas
263
Apuntes - EST - Estadística - extracto.pdf
28 páginas
137
Exámenes - Exámenes.rar
rar
14
Exámenes - Examen Convocatoria Septiembre 2015:2016 [Resuelto].pdf
4 páginas
143
Ejercicios - Tema-5-Problemas.pdf
8 páginas
294
Ejercicios - Tema-6-Problemas.pdf
19 páginas
374
Ejercicios - Tema-4-Problemas.pdf
14 páginas
221
Exámenes - 20-21-G1-Segundo-Parcial.pdf
241
Exámenes - Examenes-resueltos.zip
zip
60
Ejercicios - Ejercicios Tema 5 - Estadistica.pdf
96
Exámenes - 20-21-G3-Segundo-Parcial.pdf
289
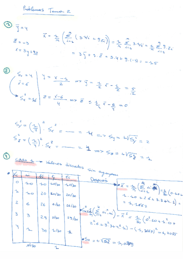
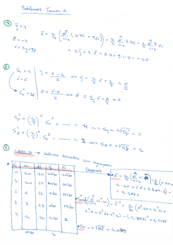
Ejercicios - Ejercicios Tema 2 - Estadistica.pdf
80
Exámenes - ESTÁDISTICA- Grado en Ingeniería Informática.pdf
156
Ejercicios - Tema-3-Problemas.pdf
10 páginas
210
Exámenes - 1CONVO-ESTADISTICA-2019.pdf
5 páginas
187
Ejercicios - Tema 4 Resueltos.pdf
9 páginas
59
Exámenes - 19-20-G2-Segundo-Parcial-Resuelto.pdf
153
3
Apuntes - Resumen-Formulario-Bloque-II-Estadistica.pdf
173
Información
Apuntes de Adam Cienfuegos