Soto014
Ejercicios-Tema-2-Resueltos.pdf
8 páginas
Exámenes - 2º Parcial 2015 [Resuelto].pdf
pdf
6 páginas
379
1
Exámenes - 1º Parcial 2016 [Resuelto].pdf
292
0
Exámenes - Examen Convocatoria Junio 2016 [Resuelto].pdf
11 páginas
264
Apuntes - EST - Estadística - extracto.pdf
28 páginas
137
Exámenes - Exámenes.rar
rar
14
Exámenes - Examen Convocatoria Septiembre 2015:2016 [Resuelto].pdf
4 páginas
143
Ejercicios - Tema-5-Problemas.pdf
294
Ejercicios - Tema-6-Problemas.pdf
19 páginas
374
Ejercicios - Tema-4-Problemas.pdf
14 páginas
221
Exámenes - Examenes-resueltos.zip
zip
64
Exámenes - 20-21-G1-Segundo-Parcial.pdf
241
Exámenes - 20-21-G3-Segundo-Parcial.pdf
289
Ejercicios - Ejercicios Tema 5 - Estadistica.pdf
96
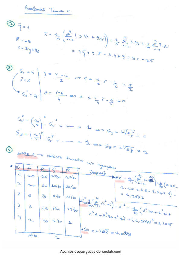
Ejercicios - Ejercicios Tema 2 - Estadistica.pdf
80
Exámenes - ESTÁDISTICA- Grado en Ingeniería Informática.pdf
159
Ejercicios - Tema-3-Problemas.pdf
10 páginas
210
Exámenes - 1CONVO-ESTADISTICA-2019.pdf
5 páginas
190
Ejercicios - Tema 4 Resueltos.pdf
9 páginas
60
Apuntes - Resumen-Formulario-Bloque-II-Estadistica.pdf
174
Exámenes - 19-20-G2-Segundo-Parcial-Resuelto.pdf
153
3