hoja4solucionesclase.pdf

Santiago_Rey

Ejercicios y examenes

14 archivos·

EstadisticaHoja5.pdf

3 páginas

ExamenGDDVenero20192020.pdf

1 página

hoja1estgddv.pdf

3 páginas

hoja2solucionesclase.pdf

5 páginas

hoja3solucionesclase.pdf

8 páginas

hoja4solucionesclase.pdf

7 páginas

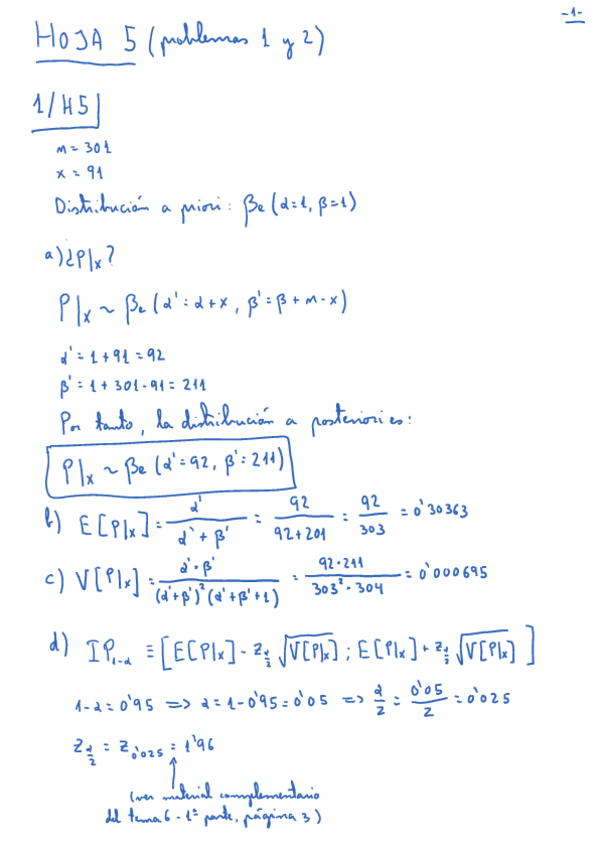
hoja5soluciones12.pdf

5 páginas

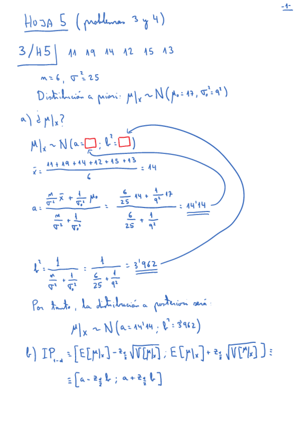
hoja5soluciones34.pdf

6 páginas

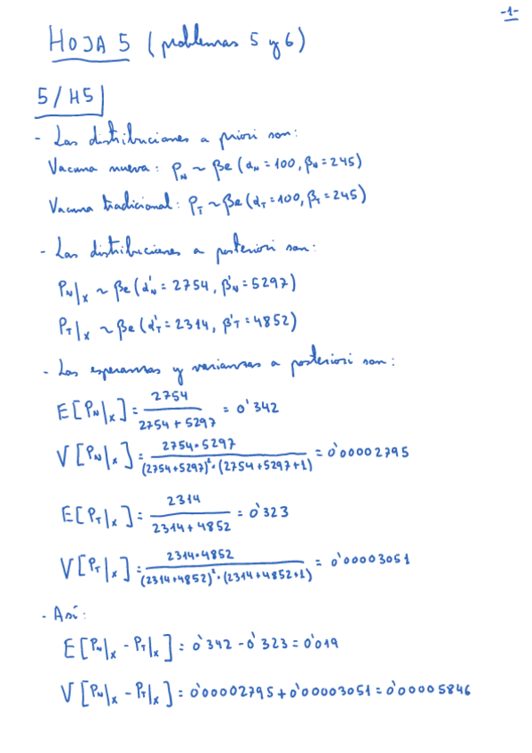
hoja5soluciones56.pdf

4 páginas

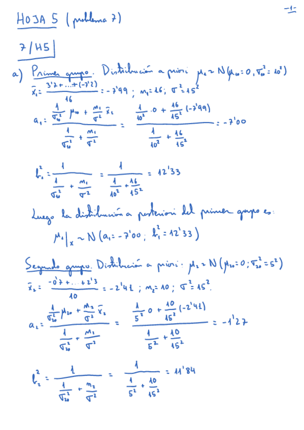
hoja5soluciones7.pdf

3 páginas

EstadisticaHoja1.pdf

3 páginas

EstadisticaHoja2.pdf

4 páginas

EstadisticaHoja3.pdf

3 páginas

EstadisticaHoja4.pdf

2 páginas

content_copy

Archivos recomendados