PL4-ANOVA-de-1-Factor-de-Medidas-Repetidas.pdf

Mireiaver_9

PLANTILLA EXAMEN PRACTICO

9 archivos·

PL5-ANOVA-Factorial-Entre-Sujetos-.pdf

3 páginas

PL2-T-de-Student-para-muestras-relacionadas.pdf

2 páginas

PL8-Correlacion-.pdf

1 página

PL3-ANOVA-de-1-Factor-Entre-Sujetos.pdf

2 páginas

PL4-ANOVA-de-1-Factor-de-Medidas-Repetidas.pdf

2 páginas

PL6-ANOVA-Factorial-de-Medidas-Repetidas.pdf

3 páginas

PL1-T-de-Student-para-muestras-independientes.pdf

2 páginas

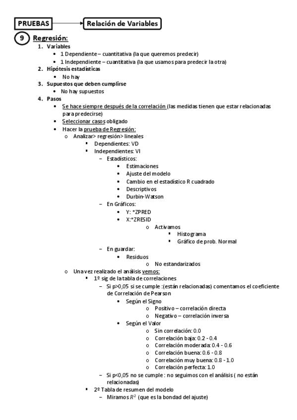
PL9-Regresion-.pdf

2 páginas

PL7-Chi-Cuadrado.pdf

2 páginas

content_copy

Archivos recomendados