PROBLEMAEXAMENDISTRIBUCIONNORMAL.pdf

uoler

PROBLEMAS

16 archivos·

PROBLEMAEXAMENDISTRIBUCIONNORMAL.pdf

4 páginas

PROBLEMASPOCESODEPOISSON.pdf

4 páginas

PROBLEMABINOMIALHIPERGEOMETRICAGEOMETRICAYBINOMIALNEGATIVA.pdf

2 páginas

PROBLEMATEOREMADELAPROBABILIDADTOTALYTEOREMADEBAYES.pdf

4 páginas

PROBLEMAPROCESODEPOISSONYAPROXIMACIONAGAMMA.pdf

3 páginas

PROBLEMAUNIFORMEYEXPONENCIAL.pdf

3 páginas

PROBLEMASGEOMETRICABINOMIALNEGATIVAYPOISSON.pdf

3 páginas

PROBLEMAGEOMETRICAYBINOMIALNEGATIVA.pdf

1 página

PROBLEMAPROCESOPOISSON.pdf

4 páginas

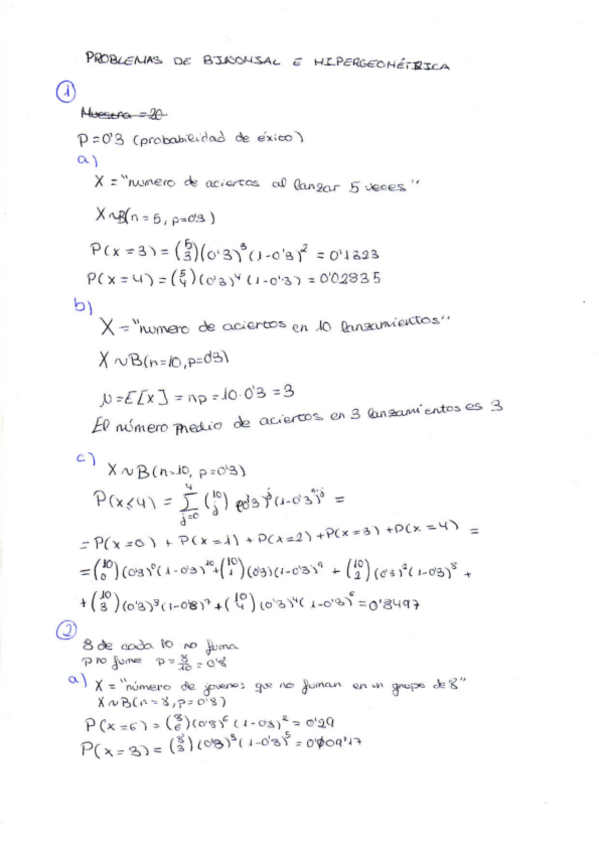
PROBLEMASBINOMIALEHIPERGEOMETRICA.pdf

3 páginas

PROBLEMASCLASEPROBABILIDAD.pdf

2 páginas

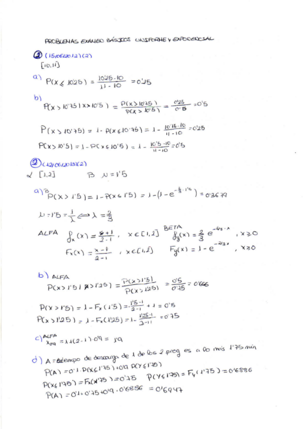
PROBLEMASEXAMENBASICOSUNIFORMEYEXPONENCIAL.pdf

5 páginas

PROBLEMASEXAMENVARIABLESCONTINUASUNIFORMEYEXPONENCIAL.pdf

2 páginas

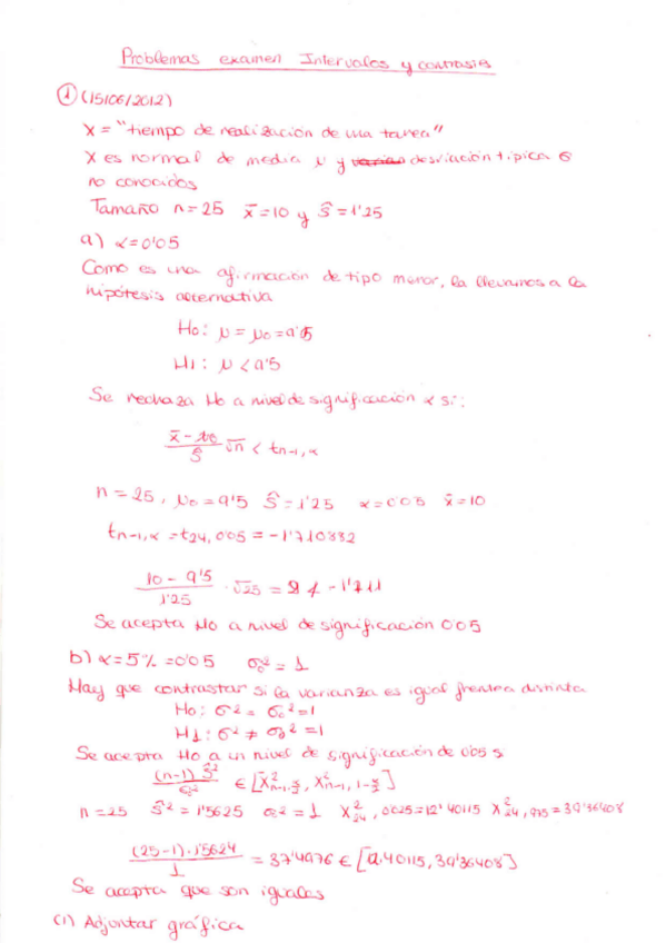
PROBLEMASEXAMENINTERVALOSYCONTRASTE.pdf

9 páginas

PROBLEMASEXAMENDISTRIBUCIONNORMAL.pdf

10 páginas

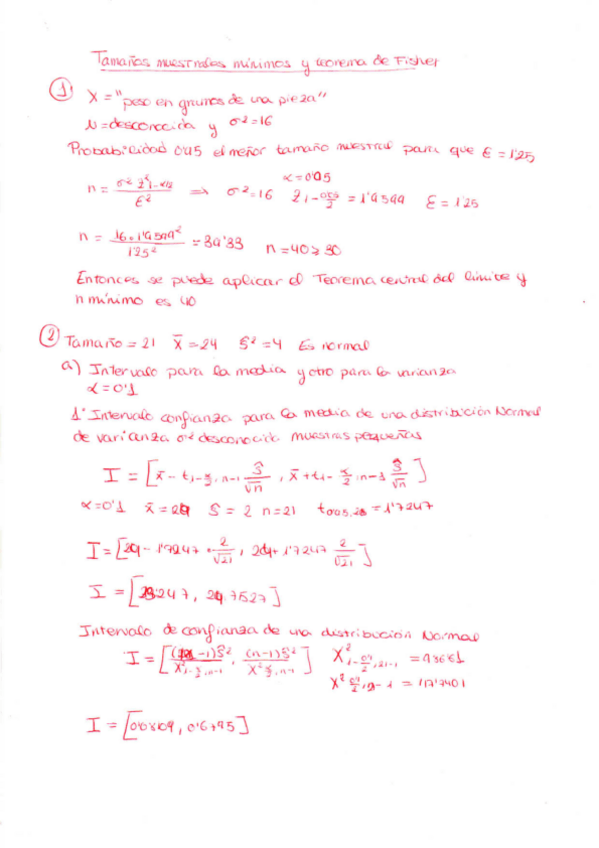
PROBLEMASTAMANOSMUESTRALESMINIMOSYTEOREMADEFISHE.pdf

10 páginas

content_copy

Archivos recomendados