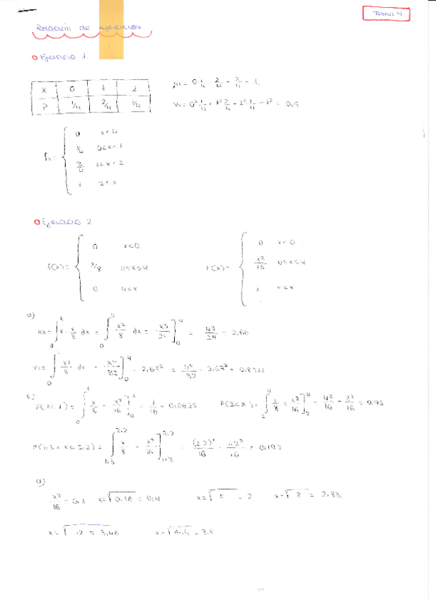
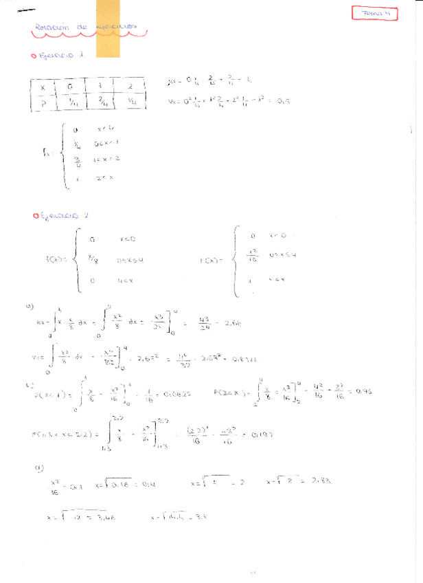
t4.pdf
Anónimo
Portada
Asignatura
account_balance
Grado en Física (UEX)
Fecha de subida
24 jul 2019
Categoría
ejercicios
Etiquetas
content_copy
Anónimo
Portada
Asignatura
Grado en Física (UEX)
Fecha de subida
24 jul 2019
Categoría
ejercicios
Etiquetas