chevron_left
chevron_right
Todo
Apuntes
Ejercicios
Exámenes
Test
chevron_left
chevron_right

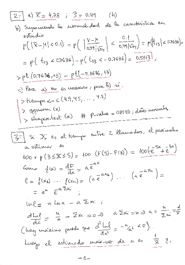
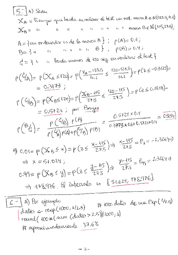
He publicado nuevos examenes de 3º Estadística: TEORIA-SEGUNDO-PARCIAL.pdf

2 páginas

He publicado nuevos examenes de 3º Estadística: PRACTICA-SEGUNDO-PARCIAL.pdf

3 páginas
Anónimo

@Anónimo

He publicado nuevos examenes de 3º Estadística: Examenenero2025.pdf

4 páginas

test

-

cuestionarios temas 3 y 4

He publicado nuevos test de 3º Estadística: cuestionarios temas 3 y 4

Cuestionario-temas-3-y-4.pdf
Cuestionario-temas-3-y-4Intento-2.pdf
Cuestionario-temas-3-y-4Intento-3.pdf
respuestas-correctas.pdf

test

-

cuestionario temas 1 y 2

He publicado nuevos test de 3º Estadística: cuestionario temas 1 y 2

Cuestionario-1.pdf
respuesta-correcta-ejercicio-5.pdf

He publicado nuevos test de 3º Estadística: Cuestionario-temas-5-y-6.pdf

3 páginas

He publicado nuevos apuntes de 3º Estadística: tema-7ANOVAcondosvias.pdf

17 páginas

He publicado nuevos apuntes de 3º Estadística: Tema-6ContrasteHipotesis.pdf

30 páginas

He publicado nuevos apuntes de 3º Estadística: Tema-5Estimacion.pdf

30 páginas

He publicado nuevos apuntes de 3º Estadística: Tema-3Probabilidad.pdf

Miniatura no disponible
pdf

He publicado nuevos apuntes de 3º Estadística: T4estadistica.pdf

51 páginas

He publicado nuevos apuntes de 3º Estadística: Tema-2Descriptiva2variables.pdf

23 páginas

He publicado nuevos examenes de 3º Estadística: Test-Variables-Aleatorias.pdf

8 páginas

He publicado nuevos apuntes de 3º Estadística: Test-Probabilidad.pdf

12 páginas

He publicado nuevos examenes de 3º Estadística: Test-Estimacion-y-Contraste-de-Hipotesis.pdf

8 páginas

Todos los problemas del tema 3 de estadística resueltos ;)

11 páginas

Apuntes del Tema 3 de Estadística con los Ejemplos y Problemas propuestos en las diapositivas resueltos

12 páginas

test

-

Cuestionarios Estadística Temas 1 y 2

He publicado nuevos test de 3º Estadística: Cuestionarios Estadística Temas 1 y 2

Intento-1.pdf
Miniatura no disponible
Intento-2.pdf
Miniatura no disponible
Intento-3.pdf

He publicado nuevos ejercicios de 3º Estadística: Ejercicios-de-estimacion.pdf

2 páginas

He publicado nuevos examenes de 3º Estadística: Examenes-practica-estadistica.pdf

6 páginas

He publicado nuevos apuntes de 3º Estadística: ESTADISTICA.pdf

22 páginas

He publicado nuevos apuntes de 3º Estadística: Test-resuelto-Tema-1.pdf

5 páginas

He publicado nuevos apuntes de 3º Estadística: Apuntes.pdf

24 páginas
Anónimo

@Anónimo

He publicado nuevos apuntes de 3º Estadística: SOL-TR3.pdf

2 páginas
Anónimo

@Anónimo

He publicado nuevos apuntes de 3º Estadística: SOL-TR2.pdf

4 páginas
Anónimo

@Anónimo

He publicado nuevos apuntes de 3º Estadística: SOL-TR1.pdf

3 páginas
¡Estás al día!

¡Estás al día!

Has visto todos los archivos