Estadística

chevron_left
chevron_right
Todo
Apuntes
Ejercicios
Exámenes
Prácticas
chevron_left
chevron_right

Es el examen de enero del 23. El video está en 1.5 para que ocupe menos, lo suyo es bajarle la velocidad una vez descargado. Tiene algunos errores a la hoar de escribir la relación pero todos los procedimientos son correctos

video

He publicado nuevos ejercicios de 1º Estadística: ejercicios-Estadistica.pdf

15 páginas

practicas

-

Prácticas 7 y 8

He publicado nuevos practicas de 1º Estadística: Prácticas 7 y 8

Practica-7-parte-2.pdf
Practicas-7-y-8.pdf
Diagrama-de-dispersion-P8-ej.4.pdf
Practica-8-Adicional.pdf

practicas

-

Práctica 6

He publicado nuevos practicas de 1º Estadística: Práctica 6

Plot-of-means-ej.2.pdf
Practica-6.pdf
Practica-6-Adicional.pdf
Grafica-medias-ej.-1e-P6-2.pdf

practicas

-

Práctica 5

He publicado nuevos practicas de 1º Estadística: Práctica 5

Plot-of-means-Vodafone.pdf
Plot-of-means-Movistar.pdf
Practica-5.pdf
Practica-5-Adicional.pdf
Grafica-medias-ej.1-P5-1.pdf

practicas

-

Práctica 4

He publicado nuevos practicas de 1º Estadística: Práctica 4

Practica-4-ej.-4.pdf
Practica-4.pdf

practicas

-

Práctica 3

He publicado nuevos practicas de 1º Estadística: Práctica 3

Grafico-de-medias-anchura.pdf
Grafico-de-medias-longitud.pdf
P3-Ej.3.pdf
Grafica-de-medias-ej.-1-1.pdf

practicas

-

Práctica 2

He publicado nuevos practicas de 1º Estadística: Práctica 2

png2pdf.pdf
Practica-2.pdf

practicas

-

Práctica 1

He publicado nuevos practicas de 1º Estadística: Práctica 1

Diagrama-de-medias-ej.9.png
Diagrama-de-cajas-ej.-9.png
Histograma-ej.-9.png
Grafica-de-sectores-mucosa-cebras.png
Grafica-de-barras-mucosa-cebras.png
Histograma-ej.-8.pdf

apuntes

-

MAPAS MENTALES

He publicado nuevos apuntes de 1º Estadística: MAPAS MENTALES

MAPA-MENTAL-TEMA-1.pdf
MAPA-MENTAL-TEMA-2.pdf
MAPA-MENTAL-TEMA-3.pdf
MAPA-MENTAL-TEMA-4.pdf
MAPA-MENTAL-TEMA-5.pdf
MAPA-MENTAL-TEMA-6.pdf

examenes

-

Examenes varios estadística

He publicado nuevos examenes de 1º Estadística: Examenes varios estadística

ExamenPracticas-3.pdf
Resolucion-Examen-Teoria-Problemas-Estadistica-22012021.pdf
resolucion-examen-tp-070721.pdf
resolucionexamenestadistica1p2021-2022.pdf
Anónimo

@Anónimo

apuntes

-

Temario

He publicado nuevos apuntes de 1º Estadística: Temario

Estadistica.pdf
ilovepdfmerged.pdf
ilovepdfmerged-1.pdf
ilovepdfmerged-2.pdf
t2.pdf
t6.pdf
Anónimo

@Anónimo

ejercicios

-

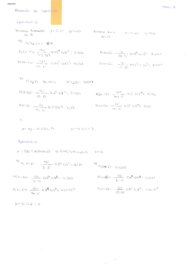
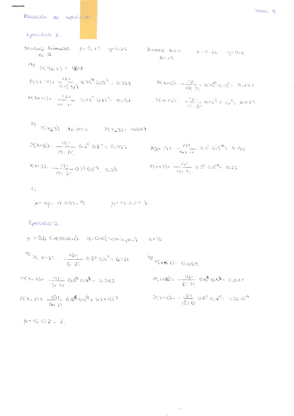
Relaciones de ejercicios

He publicado nuevos ejercicios de 1º Estadística: Relaciones de ejercicios

t2.pdf
t3.pdf
t7.pdf
t5.pdf
t11.pdf
t9.pdf
Anónimo

@Anónimo

practicas

-

Ejercicios

He publicado nuevos practicas de 1º Estadística: Ejercicios

Cuestionesmotilidad-2.pdf
cuestionesfumadoresresuelto.pdf
cuestionesmotilidad.pdf
cuestionesmotilidadsoluciones.pdf
ilovepdfmerged-1.pdf
ilovepdfmerged.pdf
Anónimo

@Anónimo

apuntes

-

Practicas

He publicado nuevos apuntes de 1º Estadística: Practicas

Guion-practica-ordenador-7.pdf
Practica-ordenador-5.pdf
prac4.pdf
practica1instalacion.pdf
Practica-3.pdf
Guion-practica-ordenador-6.pdf
Anónimo

@Anónimo

examenes

-

Examenes resueltos

He publicado nuevos examenes de 1º Estadística: Examenes resueltos

ilovepdfmerged.pdf
Anónimo

@Anónimo

examenes

-

Examenes de otros años

He publicado nuevos examenes de 1º Estadística: Examenes de otros años

IMG201907160001.pdf
IMG201907160005.pdf
IMG201907160002.pdf
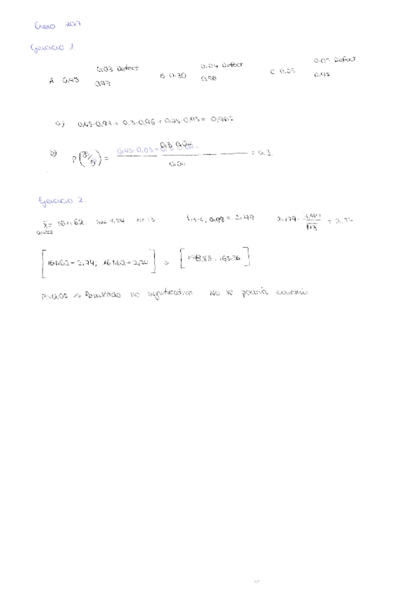
examenesenero2017.pdf
examenenero2016.pdf
examenesenero20172p.pdf
Anónimo

@Anónimo

apuntes

-

Trabajos

He publicado nuevos apuntes de 1º Estadística: Trabajos

actividad-2.pdf
TRABAJO-2.docx
Actividad1.pdf
Anónimo

@Anónimo

apuntes

-

Tablas

He publicado nuevos apuntes de 1º Estadística: Tablas

Binomial.pdf
tablaChicuadrado.pdf
Tablas-F-Snedecor.pdf
Tablat-Student.pdf
4.pdf
Distribucion-Normal-Tabla-I.pdf
Anónimo

@Anónimo

apuntes

-

Cuestionario y soluciones

He publicado nuevos apuntes de 1º Estadística: Cuestionario y soluciones

Custionario1.pdf
cuestionario-3.pdf
Solucionescuestionarios.pdf
Cuestionario-4.pdf
Cuestionario-2.pdf
¡Estás al día!

¡Estás al día!

Has visto todos los archivos