Todo
Apuntes
Ejercicios
Exámenes
Otros
Prácticas
Trabajos
chevron_left
chevron_right

He publicado nuevos examenes de 1º Estadística: 2º Parcial 2024-25 con soluciones.pdf

7 páginas

He publicado nuevos examenes de 1º Estadística: 1º Parcial 2024-25.pdf

4 páginas

He publicado nuevos apuntes de 1º Estadística: 2-parcial-TODA-TEORIA-ESQUEMA.pdf

4 páginas

He publicado nuevos apuntes de 1º Estadística: 1o-PARCIAL-ESQUEMA-TODA-TOERIA.pdf

3 páginas
Anónimo

@Anónimo

apuntes

-

apuntes estadística

He publicado nuevos apuntes de 1º Estadística: apuntes estadística

apuntes-statistics-1.pdf
apuntes-statistics-1.pdf
apuntes-statistics-2.pdf
apuntes-statistics-2.pdf
apuntes-statistics-3.pdf
apuntes-statistics-3.pdf

He publicado nuevos apuntes de 1º Estadística: RESUMEN-UNIT-1-PROBABILITY.pdf

1 página

los ejercicios totalmente resueltos están después de los enunciados

14 páginas

los ejercicios totalmente resueltos están después de los enunciados

22 páginas

He publicado nuevos apuntes de 1º Estadística: RESUMEN-UNIT-2-RANDOM-VARIABLES.pdf

2 páginas

He publicado nuevos apuntes de 1º Estadística: RESUMEN-UNIT-3-DISTRIBUTION-MODELS.pdf

2 páginas

los ejercicios totalmente resueltos están después de los enunciados

20 páginas

los ejercicios totalmente resueltos están después de los enunciados

15 páginas

He publicado nuevos apuntes de 1º Estadística: RESUMEN-UNIT-4-STATISTICAL-INFERENCE.pdf

3 páginas

He publicado nuevos apuntes de 1º Estadística: RESUMEN-UNIT-5-QUALITY-CONTROL.pdf

1 página

los ejercicios totalmente resueltos están después de los enunciados

11 páginas

los ejercicios totalmente resueltos están después de los enunciados

15 páginas

He publicado nuevos apuntes de 1º Estadística: RESUMEN-UNIT-6-LINEAR-REGRESSION.pdf

1 página

He publicado nuevos practicas de 1º Estadística: COMPUTER-LAB-3-REPORT-INFERENCE-AND-QUALITY-CONTROL.pdf

15 páginas

He publicado nuevos practicas de 1º Estadística: COMPUTER-LAB-2-REPORT-DISTRIBUTION-SIMULATION-GOODNESS-OF-FIT.pdf

6 páginas

He publicado nuevos practicas de 1º Estadística: COMPUTER-LAB-1-REPORT-DESCRIPTIVE-STATISTICS.pdf

8 páginas

apuntes

-

LABS

He publicado nuevos apuntes de 1º Estadística: LABS

STATICS-FIRST-COMPUTER-LAB-ANO.pdf
STATICS-FIRST-COMPUTER-LAB-ANO.pdf
STATISTICS-2ND-COMPUTER-LAB-3-ANO.pdf
STATISTICS-2ND-COMPUTER-LAB-3-ANO.pdf
COMPUTER-LAB-3-INFERENCE-AND-QUALITY-CONTROL-ANO.pdf
COMPUTER-LAB-3-INFERENCE-AND-QUALITY-CONTROL-ANO.pdf

apuntes

-

REPASO

He publicado nuevos apuntes de 1º Estadística: REPASO

Control-de-Calidad-Aero-y-Biomedica-.pdf
Control-de-Calidad-Aero-y-Biomedica-.pdf
Esquema-Resumen-Contrastes-e-Intervalos.pdf
Esquema-Resumen-Contrastes-e-Intervalos.pdf
Muestreo-e-Inferencia.pdf
Muestreo-e-Inferencia.pdf

Formulario Chapters 1-2-3

2 páginas

He publicado nuevos practicas de 1º Estadística: statistics-lab2-codigo2023.pdf

3 páginas

He publicado nuevos apuntes de 1º Estadística: Estadisticaapuntes-y-ejercicios.pdf

140 páginas

apuntes

-

Notes and exercises from Biomedical Engineering

He publicado nuevos apuntes de 1º Estadística: Notes and exercises from Biomedical Engineering

Full-statistics-theory.pdf
Full-statistics-theory.pdf
Exercises-topic-7.pdf
Exercises-topic-7.pdf
Exercises-topic-6.pdf
Exercises-topic-6.pdf

He publicado nuevos practicas de 1º Estadística: lab-estadistica.pdf

10 páginas

He publicado nuevos ejercicios de 1º Estadística: Statistics-Problems.pdf

21 páginas

He publicado nuevos ejercicios de 1º Estadística: Estadistica-Chapter-6-Problems.pdf

13 páginas

He publicado nuevos apuntes de 1º Estadística: Estadistica-Chapter-6-Apuntes.pdf

4 páginas

He publicado nuevos apuntes de 1º Estadística: Estadistica-Chapter-4-Apuntes.pdf

11 páginas

He publicado nuevos apuntes de 1º Estadística: Estadistica-Chapter-5-Apuntes.pdf

6 páginas

He publicado nuevos ejercicios de 1º Estadística: Estadistica-Chapter-5-Problems.pdf

9 páginas

He publicado nuevos ejercicios de 1º Estadística: Estadistica-Chapter-4-Problems.pdf

16 páginas

He publicado nuevos ejercicios de 1º Estadística: Estadistica-Chapter-3-Problems.pdf

21 páginas

examenes

-

Tests Resueltos (2016-2019)

Tests de los años 2016, 2017, 2018, 2019 con solución

2017-Test.pdf
2017-Test.pdf
2016-Test.pdf
2016-Test.pdf
2018-Test.pdf
2018-Test.pdf

examenes

-

Segundos Parciales Resueltos

Segundos parciales de los años 2016, 2017, 2018, 2019 con solución

Exam-2016.pdf
Exam-2016.pdf
Exam-2017.pdf
Exam-2017.pdf
Exam-2018.pdf
Exam-2018.pdf

examenes

-

Primeros Parciales Resueltos

Primeros parciales de los años 2017, 2018, 2019 CON SOLUCIÓN

First-Partial-Solutions-2017.pdf
First-Partial-Solutions-2017.pdf
First-Partial-Solutions-2018.pdf
First-Partial-Solutions-2018.pdf
First-Partial-Solutions-2019.pdf
First-Partial-Solutions-2019.pdf

He publicado nuevos apuntes de 1º Estadística: U4-NOTES-Statistical-Inference-.pdf

4 páginas

He publicado nuevos ejercicios de 1º Estadística: U5-EXERCISES-Quality-Control.pdf

4 páginas

He publicado nuevos apuntes de 1º Estadística: Particular-Tests.pdf

4 páginas

He publicado nuevos apuntes de 1º Estadística: Distribution-Models-Scheme.pdf

1 página

He publicado nuevos ejercicios de 1º Estadística: U4-EXERCISES-Statistical-Inference.pdf

8 páginas

He publicado nuevos apuntes de 1º Estadística: U6-NOTES-Linear-Regression.pdf

3 páginas

He publicado nuevos apuntes de 1º Estadística: Formulas-Inferencia-Statistical-Inference-Form.pdf

1 página

He publicado nuevos apuntes de 1º Estadística: U5-NOTES-Quality-Control.pdf

2 páginas

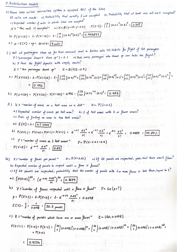
He publicado nuevos ejercicios de 1º Estadística: U3-EXERCISES-Distribution-Models.pdf

8 páginas

He publicado nuevos apuntes de 1º Estadística: U3-NOTES-Distribution-Models.pdf

5 páginas

He publicado nuevos apuntes de 1º Estadística: U2-NOTES-Random-Variables.pdf

8 páginas

He publicado nuevos apuntes de 1º Estadística: U1-Introduction-to-probability-NOTES.pdf

5 páginas

He publicado nuevos apuntes de 1º Estadística: SPOC.pdf

19 páginas

He publicado nuevos apuntes de 1º Estadística: Repaso-General-Khan-Academy.pdf

13 páginas

He publicado nuevos apuntes de 1º Estadística: Formularios-y-chuletarios.pdf

6 páginas

He publicado nuevos apuntes de 1º Estadística: Estadistica-Apuntes-Completos.pdf

78 páginas

He publicado nuevos apuntes de 1º Estadística: Ejercicios-Estadistica-Completos.pdf

104 páginas

apuntes

-

Ejercicios por temas completos

He publicado nuevos apuntes de 1º Estadística: Ejercicios por temas completos

Week-4.pdf
Week-4.pdf
Week-1.pdf
Week-1.pdf
Week-7-y-8.pdf
Week-7-y-8.pdf

apuntes

-

Apuntes estadistica por temas

He publicado nuevos apuntes de 1º Estadística: Apuntes estadistica por temas

4-Modelos-de-Probabilidad.pdf
4-Modelos-de-Probabilidad.pdf
5-Interferencia-estadistica.pdf
5-Interferencia-estadistica.pdf
2-Probabilidad.pdf
2-Probabilidad.pdf

He publicado nuevos apuntes de 1º Estadística: Teoria-Statistics.pdf

15 páginas

He publicado nuevos apuntes de 1º Estadística: Teoria-Statistics.pdf

15 páginas

He publicado nuevos apuntes de 1º Estadística: Statistics-Summary.pdf

4 páginas