Todo
Apuntes
Preguntas
Ejercicios
Exámenes
Prácticas
chevron_left
chevron_right

He publicado nuevos apuntes de 3º Estadística: Distribution-models.-Problems-sheet-solved.pdf

5 páginas

He publicado nuevos apuntes de 3º Estadística: 3-Distribution-models.pdf

2 páginas

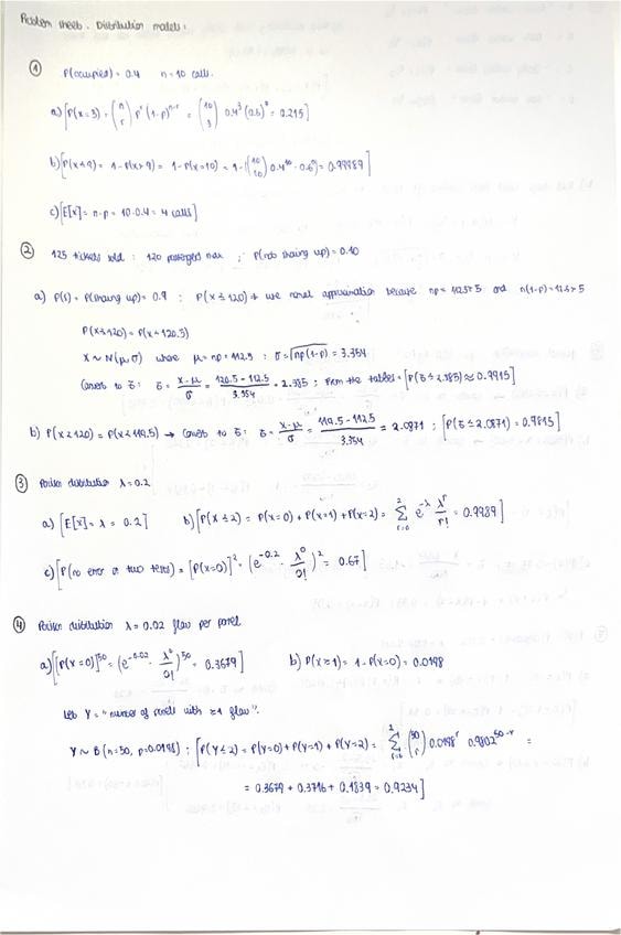
He publicado nuevos apuntes de 3º Estadística: Random-variables.-Problems-sheet-solved..pdf

9 páginas

He publicado nuevos apuntes de 3º Estadística: 2-Random-Variables.pdf

4 páginas

He publicado nuevos apuntes de 3º Estadística: Tema-2-Estadistica.pdf

7 páginas

He publicado nuevos apuntes de 3º Estadística: 1Intro-to-Probability.pdf

2 páginas

Probability

2 páginas

He publicado nuevos apuntes de 3º Estadística: CHAPTER-7-LINEAR-REGRESSION-NOTES.pdf

6 páginas

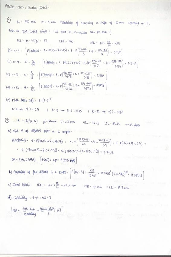
He publicado nuevos apuntes de 3º Estadística: CHAPTER-6-QUALITY-CONTROL-NOTES.pdf

5 páginas

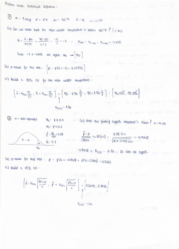
He publicado nuevos apuntes de 3º Estadística: CHAPTER-5-STATISTICAL-INFERENCE-NOTES.pdf

5 páginas

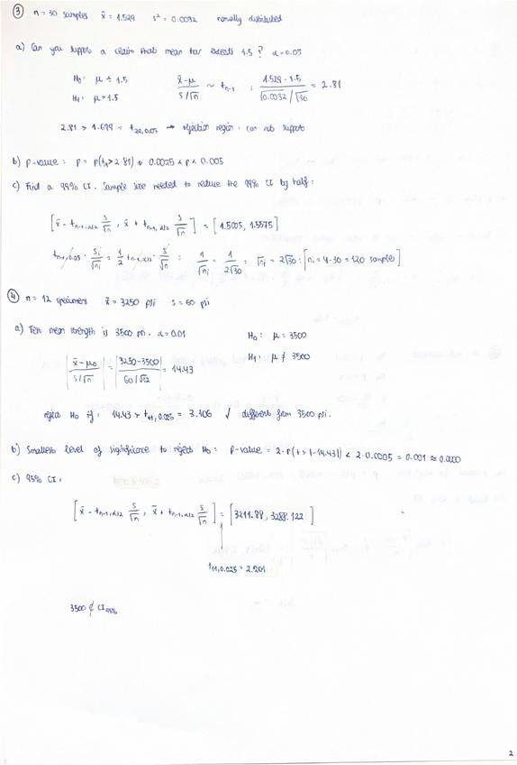
He publicado nuevos apuntes de 3º Estadística: CHAPTER-4-PARAMETER-ESTIMATION-NOTES.pdf

4 páginas

He publicado nuevos apuntes de 3º Estadística: CHAPTER-3-NOTES.pdf

3 páginas

He publicado nuevos apuntes de 3º Estadística: CHAPTER-2-NOTES.pdf

9 páginas

He publicado nuevos apuntes de 3º Estadística: CHAPTER-1-NOTES.pdf

4 páginas

practicas

-

Computer Laboratory

He publicado nuevos practicas de 3º Estadística: Computer Laboratory

Assingment-CL1Albert-Franquet-and-Fernando-Garcia.pdf
Assingment-CL2Albert-Franquet-and-Fernando-Garcia.pdf
Assingment-CL3Albert-Franquet-and-Fernando-Garcia.pdf
Assingment-CL4Albert-Franquet-and-Fernando-Garcia.pdf

He publicado nuevos apuntes de 3º Estadística: resumenStats.pdf

4 páginas
Anónimo

@Anónimo

apuntes

-

LABS

He publicado nuevos apuntes de 3º Estadística: LABS

Lab1.pdf
Lab2.pdf
Lab3.pdf
Lab4.pdf

He publicado nuevos apuntes de 3º Estadística: Theory-and-exercises-units-1-2-3.pdf

18 páginas

He publicado nuevos apuntes de 3º Estadística: Formulas-Exam-2.pdf

4 páginas

apuntes

-

labs

He publicado nuevos apuntes de 3º Estadística: labs

report-3-statistics.docx
report-stats-4.docx

ejercicios

-

Estadística 2022-23

He publicado nuevos ejercicios de 3º Estadística: Estadística 2022-23

Statistics-ch-3-exercises.pdf
Statistics-ch-2-exercises.pdf
Statistics-ch-1-exercises.pdf
Statistics-ch-6-exercises.pdf
Statistics-ch-4-exercises.pdf
Statistics-ch-7-exercises.pdf

apuntes

-

Temario y resúmenes para el 2do parcial

Con una novedad misteriosa

Statistics-topic-IV.pdf
Statistics-topic-VII.pdf
Statistics-topic-VI.pdf
Statistics-topic-V.pdf
Statistics-MLE-types-exam-exercises.pdf
Statistics-LRM-types-exam-exercises.pdf

apuntes

-

Temario y resúmenes para 1er parcial

He publicado nuevos apuntes de 3º Estadística: Temario y resúmenes para 1er parcial

Statistics-topic-II.pdf
Statistics-topic-III.pdf
Statistics-summary-topic-III.pdf
Statistics-topic-I.pdf

He publicado nuevos examenes de 3º Estadística: Statistics-MCQ-First-Assesment.pdf

7 páginas

Actualizados los archivos

He cambiado la ficha del tema 2 ya que había un par de cosas sin hacer. Ahora está mejor. Btw, si queréis que suba un "Making of" de mis apuntes, dad pulgar arriba a este post.

He publicado nuevos ejercicios de 3º Estadística: statisticsejs.pdf

51 páginas

He publicado nuevos apuntes de 3º Estadística: statisticsapuntes.pdf

12 páginas

He publicado nuevos ejercicios de 3º Estadística: ejsest.pdf

29 páginas
Anónimo

@Anónimo

He publicado nuevos apuntes de 3º Estadística: Formulas-2o-Examen.pdf

4 páginas
Anónimo

@Anónimo

He publicado nuevos apuntes de 3º Estadística: FormulasStatistics.pdf

2 páginas

apuntes

-

Assignments y Teoría

He publicado nuevos apuntes de 3º Estadística: Assignments y Teoría

AssignmentStatistics2.pdf
RStudio2.pdf
RStudio3.pdf
AssignmentStatistics.pdf

He publicado nuevos apuntes de 3º Estadística: apuntesestadistica.pdf

44 páginas

apuntes

-

Estadística

He publicado nuevos apuntes de 3º Estadística: Estadística

AssignmentStatistics.pdf
AssignmentStatistics2.pdf

He publicado nuevos ejercicios de 3º Estadística: 01_Capítulo 6_Introducción a la Inferencia Estadística (I).pdf

14 páginas

He publicado nuevos examenes de 3º Estadística: exam_june_2014_biom_sol.pdf

5 páginas

He publicado nuevos apuntes de 3º Estadística: Applied statistics and probability for engineers.pdf

976 páginas
¡Estás al día!

¡Estás al día!

Has visto todos los archivos